True Bridgeless PFC Converter Achieves Over 98% Efficiency, 0.999 Power Factor: Part 2
Find a downloadable version of this story in pdf format at the end of the story.
Last month, we described a patent-pending Bridgeless PFC converter based on a novel hybrid-switching method that eliminates the full-bridge rectifier altogether. The true single-stage power processing results in many advantages over conventional two-stage PFC converters with front-end full-bridge rectifiers, including efficiency over 98% achievable with appropriate switching devices, 0.999 Power Factor, reduced cost, size and weight, single low cost magnetics, and 100% utilization of all components for either positive or negative half-cycles of input line voltage. The Three-Phase Bridgeless PFC converter extension provides unity power factor operation, low total harmonic distortion, and eliminates the large output DC storage capacitor, yet results in small output ripple voltage. The bridgeless PFC converter of Fig. 1a operates directly of the AC line voltage, since the front-end full-bridge rectifier associated with conventional PFC converters is eliminated.
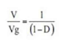
In Part 1, it was shown that this converter is capable of providing the dc voltage step-up for either polarity of the input voltage. Furthermore, it was also shown that the DC conversion ratio is the same for either polarity of the input voltage and equal to:
Thus, the equality of the step-up dc conversion gains as a function of duty ratio D of the controlling switch S for either polarity (1) is one important pre-requisite for a converter to operate as a Single-Stage AC-DC (Bridgeless) converter with PFC function.
In a clear departure from the previous attempts at bridgeless PFC conversion, all components, all three switches, input inductor L, resonant inductor Lr, and resonant capacitor Cr are 100% utilized as they take part in PFC operation for both positive as well as negative part of input line ac voltage so that there are never any idle components as is the case in conventional PFC converters.
PFC Control Mechanism
The Power Factor Correction is based on forcing the input line current iAC of the converter in Fig. 1b to become proportional and in phase to the input ac line voltage by use of the appropriate control circuit. One circuit, which can be utilized, comprises the conventional PFC IC controller to which current folding and voltage folding signal processing circuits are added externally, as illustrated in the block diagram of Fig. 1b.
The duty ratio modulation is used to control the average input current of the ac-dc switching converter of Fig. 1b; hence the bandwidth of this current feedback loop must be wide enough to force the average input current to be proportional to ac input voltage with minimal or no distortion. This is achieved by use of the switching frequency 1000 time higher than 60Hz, such as 60kHz.
On the other hand, a second voltage control loop should have a low bandwidth (lower than 60Hz) in order not to introduce the distortion in the input current and yet regulate the output voltage. Thus, the output dc voltage will be regulated although with a low bandwidth and will have a small ripple voltage provided an appropriate large size output storage capacitor C is used. Such a large output capacitor is needed in a single-phase AC line PFC converter to fill in for the difference in the pulsating input power and constant output DC power. This large output capacitor C requirement is completely removed when the Three-phase Bridgeless PFC converter is applied to a balanced three- phase ac line input.
Alternative PFC Control Methods
The forcing of input line current to be proportional to input line voltage is accomplished by controlling the duty ratio D of the controlling switch S in one of two ways:
1. Duty ratio modulation with constant switching frequency.
2. Constant ON-time and variable OFF time and therefore, variable switching frequency.
The ON-time interval starts at zero level. Since the two rectifiers limit the current flow to only one direction the resonant capacitor discharge interval is effectively limited to exactly one-half of the resonant period, that is:
DRTS = Tr/2 (2)
Tr = 1/fr (3)
Continue to next page
We have also introduced here a notion of the resonant duty ratio, DR. The resonant circuit is therefore formed by the loop consisting of two resonant components, CR and LR, switch S and respective current rectifiers (one for positive and one for negative input voltage) connected in series as shown earlier, hence limiting discharge current to only one direction.
In this case, the resonant interval DRTS is smaller than ON time interval (Fig. 2a) or equal to on-time interval (Fig. 2b). Note that the duty ratio D higher than resonant duty ratio DR results in a coasting interval shown by zero current level of resonant current since rectifier CR1 is turned-OFF (Fig. 2a).
If one wants to completely eliminate this zero-current coasting interval, a variable OFF-time control, hence variable switching frequency control, should be used.
Constant ON-time and Variable OFF-time Control
For highest efficiency and best performance, zero current coasting intervals described above should be eliminated. The best mode of operation is then to keep the ON-time constant as per:
TON = DTs = Tr/2 = constant (4)
so that duty ratio is proportional to switching frequency, or:
D = fS /2fr (5)
Thus, voltage regulation is obtained by use of the variable switching frequency fS and corresponding duty ratio D as per Equation (5). Note that all DC quantities, such as DC conversion ratio, Equation (1), DC voltages on capacitors and dc currents of inductors are still a function of duty ratio D only, as in the case of constant-switching frequency operation, since the switching frequency (whether constant or variable) is effectively removed from all the steady-state conditions.
Note that this is one of the key differences between the hybrid-switching method and all other conventional resonant methods, in which the steady-state conditions are not only the function of duty ratio D, but also of load current, resonant frequency and other circuit parameters and conditions. In hybrid switching, despite the presence of the resonance, the same simplicity of the conventional PWM control is retained: the voltage conversion ratio and other steady state conditions depend on the duty ratio D alone.
The waveforms of Fig. 2b and Fig. 2c show the constant ON-time (interval DTs) displayed first to emphasize the variable OFF-time and variable switching frequency as well as the elimination of zero coasting intervals of constant switching frequency operation.
The single-stage ac-dc PFC converter is verified on an experimental 300W prototype, which converts 110V AC line voltage and 220V ac line voltage into a 400V output DC voltage with very high efficiency over the wide input voltage range. Fig. 3a shows efficiency measurements at a 300W level over the input ac voltage range from 85Vac to 240Vac and Fig. 3b shows power loss measurements.
Very high efficiency of over 97% was measured over the wide input ac voltage range. Note the very high efficiency at the low ac line voltage of 85Vac as shown in Fig. 3a while the low total losses are shown in Fig. 3b. This clearly indicates the absence of the bridge rectifier on the front. The conventional PFC converters have a significant efficiency drop at the low 85V ac line due to the two-diode voltage drops of the bridge rectifier.
Fig. 4a shows the line voltage (top trace) and ac line current (bottom trace) at 110V 60Hz input voltage. The Power Factor was measured at 300W load to be 0.999 and total harmonic distortion (THD) of 1.7% was measured.
Fig. 4b shows the line voltage (top trace) and ac line current (bottom trace) at 220V AC and 60Hz. The power factor was measured at 300W load to be 0.991 and THD 2%.
The measurements of harmonic currents are displayed in Table 1 for 110V and Table 2 for 220Vac for both 60Hz and 50Hz.
Continue to next page
Computer Servers, PC Power Supplies
Out of many applications required by industry regulations to use the PFC control, perhaps most widespread is the use in computer servers and personal computers. The block diagram of such a system application is shown in Fig. 5, in which the front-end Bridgeless PFC converter generates intermediate high dc voltage for energy storage at 400V for the 20 msec hold-up time requirement.
For such applications, TESLAco has developed a very high efficiency, ultra small size Isolated Storageless Converter™ based on its Storageless Conversion Method. The efficiency measurements data for a prototype of a 600W, 12V output storageless voltage converters are shown in Fig. 6a and loss measurements in Fig. 6b. The only magnetic component in the converter is the isolation transformer depicted in Fig. 6c. This transformer is built using two stacked ferrite toroidal cores, each having a 33mm2 cross-section for a rather small total cross-section of only 66mm2 despite the low operating switching frequency of 68.5kHz. The core type is EPCOSR20x10x7 in N87 material 14/2/3.
Another unique feature is a use of only one-turn secondary for a 12V output DC voltage, revealing a much lower flux excitation of the transformer in this storageless converter as compared to conventional converters requiring at least 3 turns secondary windings for an effective 4V/turn flux excursion and a much bigger ferrite cores at such low operating switching frequency. Clearly, the toroidal structure of the core suggests no DC bias in the transformer, hence no saturation with any DC load current and high overload current capability of two or more times over the nominal load current limited by short term thermal considerations.
Two Output Bridgeless PFC Converter
The early DC transmission system proposed by Edison was a three-wire system with a neutral wire carrying no DC current. For DC transmissions, this results in doubling the transmitted power for the same amount of copper used compared to straightforward two-wire DC transmission system and is therefore the preferred method.
The Bridgeless PFC converter can generate either positive or negative polarity output DC voltage, so as to lead to direct implementation of a three-wire DC transmission system. This is easily seen in the converter of Fig. 1a, in which the change of direction of both current rectifiers CR1 and CR2 will result in the negative output DC voltage. Further size and weight savings and efficiency improvements can be made when two such separate converters are integrated into one single converter with two outputs, having a single inductor L and one active switch S, as illustrated in the converter of Fig. 7.
Three-phase Bridgeless PFC converter
The three-phase alternating current system of Nikola Tesla has replaced the Edison DC transmission system as a much more efficient alternative for long distance electrical power transmission, due to a use of three-phase transformer to raise the transmission voltage to 400kV and correspondingly reduce the transmission current and copper losses. Tesla’s three-phase transmission system, however, has among others, one unique property: despite the fact that each 120 degrees shifted phase has a sinusoidal voltage and current, and therefore a time varying instantaneous power, the sum of the instantaneous input powers of a balanced three-phase transmission system is constant and independent of time:
i1 v1 (t) + i2 v2 (t) + i3 v3 (t) = P = constant (6)
This feature of the three-phase transmission system is used to a great advantage in the three-phase Bridgeless PFC converter shown in Fig. 8. Each of the three Bridgeless PFC converters of Fig. 1a is connected to a respective phase of the three-phase star-connected input, while their outputs are connected to a common output voltage, so that the output DC ground terminal is connected to the neutral of the four-wire, three-phase star connected ac input voltage.
The output dc power is a product of the output DC voltage and output DC current and by definition is not fluctuating in time and should be equal to (6) as ac transmission does not store dc energy. This comes as a direct result that, although each phase of the three output currents of the respective individual Single-phase Bridgeless PFC converters, designated as i01(t), i02(t), and i03(t) in Fig. 8 are by themselves time-varying as depicted in the waveforms of Fig. 9 a,b, c, their sum, due to the phase shift of 120 degrees, results in the constant load current I0 and constant power P given by (6) even without a need for any output capacitor C due to following relationship:
i01(t) + i01(t) + i01(t) = I0 (7)
Continue to next page
Note that in the conventional three-phase rectification using six current rectifiers, the resulting rectified dc voltage ripple would require a proportionally large output capacitor C. Although the direct rectification of the three-phase line would result in a relatively good power factor, the harmonic distortion present in each phase will not meet regulation requirements and would therefore require active or passive PFC control for reduction of harmonic currents.
Connection to a Future DC Transmission System
Solar generation is starting to provide increased power to complement the power generated by traditional sources, such as coal, oil, nuclear and hydropower. Solar sources generate a DC power leading to the planning of a future DC transmission lines at high DC voltages. Clearly, such DC transmission lines would be most effective as a three-wire DC transmission system with neutral or ground and positive and negative DC voltages available for long distance transmission.
The Three-phase Bridgeless PFC converter shown in Fig. 8 would be an ideal link between the three-phase AC transmission system and a future DC transmission system. Note that the Three-phase Bridgeless PFC converter can take the same advantage as the single-phase, Bridgeless PFC implementation of Fig. 7 and convert its power to a three-wire DC transmission system.
Second “Impossible” Converter Solution
The bridgeless PFC converter will find its way into other applications as design engineers seek to take advantage of the circuit’s size and performance attributes. The second in the series of “impossible” converter solutions, “Single-Stage Isolated Bridgeless PFC Converter” , will be published in the September issue of Power Electronics Technology. This isolated Bridgeless PFC converter, shown in Fig. 10, provides both PFC and isolation in a single-stage power processing consisting of an active switch S on primary side and two current rectifiers on the secondary side and one magnetic core. The design achieves an ultra-high conversion efficiency of over 97%.
Editorial Note: For questions regarding this article and for contact information to the author,readers are directed to TESLAco’s web site at www.teslaco.com.
*
Footnote: Bridgeless PFC Converter™ and Single-Stage PFC Converter™ are trademarks of TESLAco.
Download the story in pdf format here.
About the Author
Dr. Slobodan Cuk
President
Voice Your Opinion!
To join the conversation, and become an exclusive member of Electronic Design, create an account today!

Leaders relevant to this article:
