The most important component in the automotive sector is the burst phase in a combustion engine’s cylinders. Since these engines arrived on the scene, engineers have worked on design techniques for handling low frequency noise. Power-saving techniques have contributed to produce more environmentally friendly vehicles, but the noise persists in the cabin. Reducing the number of cylinders with more efficient and more environmentally friendly engines lowers the engine noise frequency—and increases the likelihood of a more intense and annoying ride for passengers.
Active-noise-control (ANC) technology takes advantage of the vehicle's audio system to diminish unwanted noise generated by the engine. To reduce that noise, engineers use active acoustic control or ANC to generate noise-cancellation signals, which are played on loudspeakers in the car's cabin.
A Closer Look at ANC
Audio sound active control is a signal-processing methodology that reduces the effective sound amplitude to improve signal-to-noise ratio (SNR) so that unwanted noise is less perceptible. The ANC methodology is also called audio noise reduction (ANR). ANC or ANR is based on coherent acoustics that accurately replicate the original sound field in all its forms. It uses amplifiers and microphones inside vehicles, along with digital signal processing (DSP), to cancel the noise. The sound can be described as a pressure wave consisting of an amplitude and phase.
A noise-cancelling system is incorporated within an audio device that emits a wave with equal amplitude, but a phase of 180° (inverted phase, also known as anti-phase) of the original wave. The recombination process of the two waves is based on physical principle called destructive interference. The ANC is achieved by using mixed-signal circuits or DSP, with a control algorithm to analyze the sound’s waveform, to generate an amplified anti-phase wave to a transducer.
1. In a general ANC system. a digital-signal processor is a microprocessor-based device that generates the anti-noise waveform in anti-phase mode.
These systems increasingly rely on integrated systems-on-a-chip (SoCs) equipped with high-performance standard CPUs and software infrastructures. Real-time computing resources are needed to quickly implement and complete feedback-control loops, so that the ANC solution will work properly.
The ideal method for implementing such a solution uses digital signal processing (Fig. 1). A typical ANC-based automotive system employs four or five audio system woofers, and adds three to six microphones. With this setup, the system can reduce noise in the 30- to 250-Hz range (the spectrum covers the ignition frequencies of a four-cylinder engine) in a common passenger compartment.
Design Features
ANC generates a waveform anti-phase (180°) that fits perfectly to that disturbance source. To get better results, the ANC system should also be located close enough to the source of noise, mostly transmitted in one direction.
ANC systems leverage one of two fundamental methods:
- Adaptive deletion method: It’s based on one or more microphones to detect noise, and generates an anti-noise wave.
- Synthesis method: It involves sampling and storing a number of noise cycles, generating an anti-noise waveform based on stored information.
ANC is particularly useful for applications such as industrial equipment, dynamic systems, and home appliances.
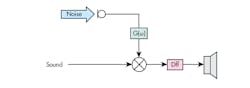
2. Shown is a typical configuration of a feed-forward ANC system. The "Dff" block is the feed-forward delay due to the speaker. The microphone picks up the noise signal and it’s sent to the G(ω) compensation filter and mixed with the sound.
The system is basically based on either a feedforward control, where a coherent reference noise input is detected before propagating beyond the secondary source, or a feedback control in which the active noise regulator attempts to cancel the noise without a reference input (Figs. 2 and 3).
In a typical configuration, the Harvard architecture of DSP represents the core of the system—it can perform math processing and manipulation of real signals such as voice, audio, and video. In a noise-cancelling application, the DSP examines the characteristics of the waveform of the input noise and subsequently generates the anti-noise waveform. The human ear therefore receives less “white” noise, since the cancellation occurs in real or almost real time.
The codec is essential in audio applications, since it can convert real-world analog signals (like sound) to digital signals for DSP, and back to analog for the human ear. The use of least-mean-square (LMS) filters, a type of finite-impulse-response (FIR) filter that can modify coefficients during operation, can effectively solve the problem of actual noise estimation and thus maximize system performances under real conditions.
3. Feedback ANC systems, which are considered more cost-effective options, can work up to 1 kHz.
Passive Control
Audio-noise-control techniques are basically passive and active in terms of how noise is kept under control. The passive technique identifies the frequency band of noise and increases the signal gain (voice or music) in a way where it maximizes that band’s signal/noise ratio and, in turn, obtains a better signal intelligibility. Passive technology isn’t very complex to implement, although it may require a series of measurements in the frequency domain. A noise-control technique that’s considered passive is called the “noise gate.”
Conclusion
The noise management in a vehicle is complex, since the sound produced comes from many mechanical components and the interaction of objects with the road and air. Industrial efforts have reduced a car's noise by many orders of magnitude, and new legislation could further urge engineers to improve ANC systems. At the same time, concerns were raised about the total silence of vehicles—they could be a danger to pedestrians who might not be able to hear a car approaching.
The active-noise-control method is quite effective and capable of reducing the noise by more than 20 dB. As a result, it increases the SNR by as many decibels without acting on signal gain.
About the Author
Maurizio Di Paolo Emilio
Maurizio Di Paolo is the author of Microelectronic Circuit Design for Energy Harvesting Systems, a book covering the design of microelectronic circuits for energy harvesting, broadband energy conversion, and new methods and technologies for energy conversion.




