Rethinking Wireless Power: A Closer Look at Ossia's Technology
What you'll learn:
- Ossia's response to readers' questions and skepticism regarding their longer-distance wireless power system.
- The priniciples behind the company's energy transmission system.
- A demo of the technology, including a video presentation.
Our recent story "Wireless Power System Approved by EU and UK Claims to Charge Mobile Devices Without Frying Users" caused quite a stir amongst our loyal reader community. In fact, more of our sharp-eyed readers took the time to weigh in on the technology's relative merits than any other story I've written in the last decade (or two).1 Nearly all of their responses were even more skeptical than I was of Ossia's claims to be able to deliver meaningful amounts of power to devices multiple meters away via either 2.4- or 5.8-GHz RF beams, without exposing nearby users to unsafe energy levels.
And I don't blame them. Wireless power has become a hot topic in the last few years. I've covered several of the many startups who claim to have a "breakthrough" technology but provide few, if any, details about how it works.
While most of these companies' systems seem to be capable of transmitting power with varying degrees of efficiency, I’m less than confident in their purported safety mechanisms intended to avoid irradiating hapless users. As a result, wireless power systems (other than inductive) are currently on the same "no fly" list that bans any device containing Alexa, Siri, or other domestic spyware from my house.
Due to those experiences, I regarded the claims made by Ossia in a recent press release with equal skepticism. Nevertheless, as I try to do with any company, I gave them the benefit of the doubt and asked for additional details about their technology. My questions focused primarily on how their system achieves their unique capabilities, such as using multipath transmission for non-LOS power delivery, sensing obstacles (including people), and re-routing their power beam around them.
To my surprise, Ossia did reply, and some of their answers made an honest attempt to explain their technology without violating the laws of physics. Although I wasn't completely satisfied with their answers, and a bit uncomfortable with some of the novel technical terms I wasn't familiar with, such as "Reciprocal RF" and "retrodirective signal,” I thought it would be worthwhile to share what I'd learned with Electronic Design's readers in the form of an article, mainly comprised of my questions and Ossia's responses.
A Poke from Our Watchful Readers…
After receiving several e-mails from folks who know much more about RF than I do, I felt obligated to dig deeper into the technology to better understand how it does and doesn't match up to the claims being made for it. Fortunately, Dr. Hatem Zeine, Ossia's founder, CEO, and inventor of the technology, agreed to a lengthy video call where he did his best to explain both their technology and the theory behind it. You can view our conversation in the first of two embedded videos below in "Wireless Power for Skeptics".
What follows is a summary of what I learned from that call as best I understand it. (Warning: My conclusions may disappoint some of the folks who wrote me because they don't completely discredit Ossia.)
Getting Down to Basics
Zeine said that the principles behind their energy transmission system are different from the beamforming/steering techniques used by most other wireless power technologies that shape their output in the transmitter's far field, with multiple antennas transmitting coherently. Ossia's technology operates within the more chaotic environment of the near field, where the power transmitter uses a distributed phase detection and conjugation technique to detect all of the available signal paths it can use to deliver power to a client receiver.
Although it's not completely accurate, I found that it can be useful to think about Ossia's approach to wireless power as "RF holography": The power transmitter (base station) collects signal information from each element of its transceiver array and uses it to create the RF equivalent of an optical interference pattern that contains an image of the area between the base station and a client device. The base station's array of phase-aware power transmitter elements then uses that information to create an opposite interference pattern that sends energy to the receiver along all of the paths it was able to "see." This is a distributed process, performed locally by the power transmitter array, and requires no centralized computation.
From a less allegorical perspective, Ossia's Cota system consists of a base station (power transmitter) and one or more remote power receivers. The base station contains a large array of transceiver elements (typically 250+) that, depending on the model, transmit power at either 2.4 or 5.8 GHz. They’re normally off and only transmit in response to a request in the form of a "beacon" signal, generated by a power receiver embedded in a client device. The receiver's beacon is a 5-mW pulse, transmitted up to 100 times/s. It contains a unit ID number plus other information about the client, such as its power requirements and state of charge.
Each of the base station antenna's transceiver elements can accurately detect the phase and amplitude of the incoming beacon with respect to its internal reference. The Ossia system uses that information to understand the propagation characteristics of its environment on a moment-by-moment basis.
According to Ossia's Mr. Zeine, the beacon signal seen by each receiver represents the unique sum of the various transmission paths reaching that particular point in space. That information can be extracted by using the receiver's "phase detect mode" where the signal and an internal reference clock are combined and fed to an A/D. The resulting output value is used to calculate the negative or “complex conjugate" of the original phase value that can produce a signal with the inverse of the received phase.
Wireless Power for Skeptics
Zeine says that this process extracts the combined characteristics of every direct and indirect transmission paths that hits each of the array's antennas. This enables the combined outputs of the transmitter array to form multiple beams that reach back to the client device along most or all of the same paths. He also says that since the beacon isn’t seen in paths with obstructions (living or not), the resulting conjugate doesn’t create any beams that will hit critters or people.
In addition, according to Zeine, when the system is used in office or home environments, using holographic inverse algorithms, the beacon's 100-ping/s rate allows the system to keep close enough track of the occupant's locations as they move about. Thus, their mobile devices can charge without spraying them with high-power RF.
We also discussed a few other issues I was unsure about. One involved their claims of being able to transmit multiple watts of power across several meters without the beamforming techniques often used to slow the dispersion that occurs as distance increases. Zeine's answer was intriguing.
He reminded me of what any engineer with some background in RF already knows (but I'd forgotten). While the simple 1/R2 formula does a decent job of modeling propagation at relatively large distances from the transmitter, i.e., its far field, the field strength behaves in a much more complex manner close to the transmitter, i.e., in its near field.
Ossia takes advantage of some of the properties of the near-field effect to extend the distance its system can transmit enough power to charge phones, laptops, and other mobile electronics.
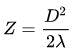
Within the near field, the signal's near-field behavior can be modeled with an infinite series whose terms cause the value of the field strength to decrease more slowly with distance than the simpler far-field model (1/R2) would predict. But, as the signal radiates outward, it behaves more closely in accordance with the simpler 1/R2 formula until the far-field effects begin to dominate the beam's behavior. This point is known as the Rayleigh distance, which can be approximated as:
where Z is the Rayleigh distance, D is the aperture of radiation, and λ the wavelength.2 This means that the transmitter's near-field distance can be increased by using a larger array or a higher frequency.
Zeine said that the near field of their current 2.4-GHz demo unit, which has a 60- × 60-cm antenna array, extends to 5.7 m. He also said that, once completed, the near field of their 5.8-GHz system (built to the same 60- × 60-cm dimensions) will extend nearly 2.5X further (12 to 13 m).
Note: This corrects a misunderstanding I had when I wrote the first article, which led me to speculate incorrectly that the 2.4-GHz system's reach would exceed what they predict for their 5.8-GHz Cota system. In reality, the 2.4-GHz system I saw demoed has a range that’s somewhat less than the predicted performance of the 5.8-GHz system, which they say will be able to deliver 2 to 3 W to a receiver at one meter from the transmitter, 1 W at two meters, and 10 to 50 mW at 10 meters.
My understanding is that Ossia supports higher-power applications within the transmitter's near field, but also delivers lower levels of power at greater distances. While the power levels at these distances are in the milliwatt range, they’re still very useful for applications such as charging the batteries of low-power wireless sensors, such as those used in security, asset tracking, or other IoT systems. Since both the beacon and the power beam can be used to transmit low-rate digital data streams, the technology also can power and update smart signage, such as those that contain product and pricing information in retail stores.
Putting Theory into Practice
Toward the end of our video conference, Zeine and his colleagues moved from their office to a nearby lab where they put the theory we'd discussed into action with a live demonstration of the technology. Despite my natural skepticism, acquired from spending too many years watching rigged demos at trade shows, I was pleased to find that what I saw Ossia's hardware do in the lab appeared to prove out the theory they shared during the briefing.
They used a convincing series of scenarios to demonstrate the system's ability to use multiple transmission paths to charge a mobile device and disable any path where an obstruction was detected. This included a scenario in which the demonstrator blocked the line-of-sight path with their hand and the device continued to charge at a lower rate using its multipath channels. You can see this, and other highlights of that presentation, in the video "Live in the Lab with Ossia" below.
Live in the Lab with Ossia
During the demonstration, Ossia also showed me how they have begun to put that theory to practical use, with a look at several commercial applications they’re currently developing for clients. This included a "smart price tag," which retailers can update with price and product information using the same wireless channel that keeps its batteries charged. Each transmitter can support 1,000 or more of these low-power devices. Another application involved a transponder that keeps track of incoming semi-trailers as they enter a warehouse lot. From the look of the prototypes I saw, both applications were well on their way to being commercial products.
Ossia says their technology is well-suited for applications in many other markets, ranging from consumer electronics and the industrial IoT to distributing power within next-generation cars and trucks.
Questions about Certification
Several readers raised questions about Ossia's recent statements regarding certification for its technology in the U.S. and the EU/UK. We were almost out of time before the topic came up, so I don't have all the answers about how they achieved certification. Here is what I know:
The recent UK/European approvals that allow for operation over any distance the system can cover were achieved using a process known as "self-declaration." Therefore, instead of having the government review a product's test data for compliance with the radio, emissions, immunity, and RF safety standards, the company can review its own data and then submit a statement of compliance. I’m not enough of an expert in this area to weigh in on whether this leaves room for a company to skirt the intentions of the regulations with a non-compliant product or technology.
According to one source who contacted me, they were approved by an EU Notified Body and used those results to gain approval from the UKCA Conformity Assessment Body, which also uses the EU's standards. My understanding is that this is well within the bounds of accepted practices, although I’m not sure how many companies choose to use it instead of going through direct certification with the EU/UK authorities. And, in the interest of full disclosure, I haven’t seen an announcement that provides the name of the testing organization they used, or the test results, and regret that we ran out of time before I could explore the issue with Ossia during the interview.
If I learn anything new about this, or its U.S. certification, I'll insert an update into this article.
Speaking of which, just to clarify Ossia's statement regarding its U.S. approval, their current FCC certification limits their transmission to 1 m. This may change in the future since they’re vigorously pursuing approval to operate at longer or even unlimited distances. The FCC's caution is understandable, given their novel technology, and numerous potential applications. Nevertheless. I believe that, unless I've missed some fatal detail, they should eventually gain approval for longer-distance applications in the U.S.
Conclusions
Although I entered the conversation as a skeptic, it does appear that what appeared to be "smoke and mirrors" is actually a novel, but plausible, application of standard RF theory. At least from my understanding of the simplified math that Dr. Zeine used to explain their complex conjugate process that generates the so-called retrodirective signal, the technology behind Ossia's wireless power system seems to work in accordance with what I'm able to recall of the Fourier, Laplace, and radio propagation theory I learned in college.
Although I still have a few lingering questions about whether Ossia's technology can achieve all of its performance claims, full U.S. certification, and, if it can be as easily commercialized as they said, it certainly appears that they have created a unique technology with the potential to solve many of the problems associated with wireless power, and should find lots of potential applications.
Resources
A whitepaper that provides additional details on Ossia's Cota system, is available at the following link: Cota vs Other Wireless Power Technologies.
Notes
1. Most of the email I received from readers was either highly skeptical of the technology, or concerned about whether it could really protect users from exposure to high-power RF. Here are excerpts from two of my favorites:
“This isn’t like cell phones, which are operating at extremely low power levels, it’s an attempt to provide power to chargeable devices. Likely 10^3 or 10^4 more energy, or more. There’s an abject lack of data on this topic, but the flux densities required of the µW energy necessary to charge devices at 1-10 meters is not trivial. What is the impact on humans intercepting that field? I have difficulty believing that this passed FCC RF safety studies, if there were any. Did the manufacturer self-certify?”
“I've been an analog circuit designer for almost 50 years, and in that period have learned that marketing people are, to be very blunt, full of $h!it. As I read this piece, I kept checking my calendar to be sure it wasn't April 1. It's the same exaggerated hype about "breakthrough" and "revolutionary" technology that scammers use to raise lots of money. It's also possible that some slick-talking promoter read an article about Tesla and his half-baked ideas about "power everywhere" ideas - then decided he could display his expertise at running with the same idea in today's market.”
2. A concise explanation of the Rayleigh distance can be found at: https://en.wikipedia.org/wiki/Rayleigh_distance.




