Auto-Qualified Op Amp Boasts Ultra-Low Offset Voltage and Drift
What you’ll learn:
- Why a basic, uncluttered op amp is often the solution to precision-amplifier requirements.
- How the specifications of the ST TSZ901 address high-performance automotive needs.
- Why low offset voltage is beneficial for many applications, including low-side current sensing.
With thousands of op amps available from dozens of credible vendors, you might think there would be little need for yet another of these basic analog-function ICs. Apparently, the designers and marketers at STMicroelectronics don’t agree. The new TSZ901, an AEC-Q100 qualified op amp, boasts near-zero drift and ultra-low offset, both critical attributes for high-performance sensor-signal conditioning. Benefits include higher accuracy without calibration and accuracy that’s almost entirely unaffected by temperature change.
The fact that this minimal-function device was developed reveals two analog-component realities. First, there’s still a need for the humble, unassuming, standalone op amp despite the availability of higher levels of analog functionality in a single IC.
Second, even though high-performance, functionally integrated analog components are common and quite good — with large-scale devices incorporating high-end analog I/O, analog-to-digital and digital-to-analog converters, devices drivers, RF capabilities, and more — sometimes “less is better.”
It requires a careful focus by engineers and manufacturers to optimize the complex interplay among inevitable design, as well as process tradeoffs to minimize and balance the unavoidable compromises and provide superior performance in the top-priority parameters.
Key Features of the TSZ901 Op Amp
The TSZ901 SOT23-5 operational amplifier features very low offset voltages with close-to-zero drift over temperature changes, specified as 5 μV maximum at 25°C and 8 μV over the full temperature range (−40 to 125°C). It offers rail-to-rail input and output, excellent speed/power consumption ratio, and a 10-MHz gain-bandwidth product, while consuming just 1.5 mA at 5 V (although it can operate down to 2.5 V).
The device also features an ultra-low input bias current of 600 pA (maximum) over the full temperature range; the typical value of that maximum specification is less than half that value. These specs make the TSZ901 a very good fit for high-accuracy sensor interfaces.
As you would expect, the 22-page datasheet has numerous graphs (40) and tables defining typical and minimum/maximum performance across many perspectives and pairing. Figure 1 shows one of them.
Although the datasheet is light on applications discussion — not really needed for this widely analyzed and understood building-block component — it does detail its use for low-side current sensing (Fig. 2). Note that low-side sensing is still popular, although high-side sensing gets much of the attention.
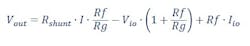
Circuit analysis shows that Vout is:
But if Rf2 = Rf1 = Rf and Rg2 = Rg1 = Rg (very reasonable conditions), then that formidable equation reduces to:
The main advantage of using the TSZ901 in a low-side current-sensing arrangement is its low input-offset voltage (Vio) compared to operational amplifiers with larger offset voltages. This means that for a given current and targeted accuracy, the sensing shunt resistor can have a lower value, which results in beneficial reductions in power dissipation, voltage drop in the ground path, and cost. (The precision of Rg1 and Rf1 is critical when it comes to maximizing measurement accuracy.)
The TSZ901 is available now, with pricing starting at $0.71 for orders of 1,000 pieces.
Reference
Automotive Electronics Council, AEC-Q100-Rev J, “AEC - Q100 - REV-J, Failure Mechanism Based Stress Test Qualification for Integrated Circuits in Automotive Applications” (August 11, 2023).
>>Check out this TechXchange for similarly themed articles and videos
About the Author

Bill Schweber
Contributing Editor
Bill Schweber is an electronics engineer who has written three textbooks on electronic communications systems, as well as hundreds of technical articles, opinion columns, and product features. In past roles, he worked as a technical website manager for multiple topic-specific sites for EE Times, as well as both the Executive Editor and Analog Editor at EDN.
At Analog Devices Inc., Bill was in marketing communications (public relations). As a result, he has been on both sides of the technical PR function, presenting company products, stories, and messages to the media and also as the recipient of these.
Prior to the MarCom role at Analog, Bill was associate editor of their respected technical journal and worked in their product marketing and applications engineering groups. Before those roles, he was at Instron Corp., doing hands-on analog- and power-circuit design and systems integration for materials-testing machine controls.
Bill has an MSEE (Univ. of Mass) and BSEE (Columbia Univ.), is a Registered Professional Engineer, and holds an Advanced Class amateur radio license. He has also planned, written, and presented online courses on a variety of engineering topics, including MOSFET basics, ADC selection, and driving LEDs.





