TVS Clamping in Hot-Swap Circuits
Power systems dedicated to next-generation high-performance blade servers, datacenters, storage and communication infrastructure systems are a group that “feels the need--the need for speed!” Specifically, a secular trend of continually increasing processor clock rates and data throughput is evident. Barring a correction in the voracious global appetite for high bandwidth data, this trend is likely to continue.
Unfortunately, the power consumed by these systems is leveraged dramatically higher in the face of rapidly escalating costs to cool these systems. The emphasis is thus on energy monitoring and savings at the system and facility levels. Also, it becomes imperative to understand the electrical stresses in the system backplane, the connector to the line card, and the line card itself to ensure maximum reliability and maintain continuous uptime in these systems.
To this end, hot-swap controllers[1,2] have become a preferred method to provide highly desirable system protection and electrical management in distributed power systems, particularly to meet the stringent requirements of the server market[3]. The hallmarks of hot-swap controllers in such applications generally include safe control of live board insertions (inrush current control) and removals, fault monitoring diagnostic and protection, and high accuracy electrical (voltage, current, power) and environmental (temperature) parameter measurement to provide real-time system telemetry in analog or digital domains. In particular, if a fault occurs in one line card in a server rack, that fault should remain isolated to that particular line card and impact neither the system backplane nor the other line cards powered from that live backplane. Typically, the hot-swap controller is interfaced to a:
- Pass MOSFET in series with the power path, thus enabling ON/OFF functionality
- Low ohmic shunt for current sensing
Fig. 1 represents the schematic of a line card interface and hot-swap circuit in a typical server system and represents the template for the subsequent discussion. Detailed description of the edge card to backplane connector and the components downstream of the hot-swap circuit is superfluous to this discussion. The hot-swap controller[1] embodied in Fig. 1 is optimized specifically for power delivery in server and datacenter applications.
Hot-Swap Circuit-Breaker Event
Essentially, the pass MOSFET, Q1, in Fig. 1 is rapidly turned off by the hot-swap controller when a fault is detected and current slew rates during current interruption may reach 100A/µs or greater. However, the supply rail bus structure in the input power path inevitably has parasitic inductance (related to the length and inherent loop area of the supply busbars). The energy stored in this inductance will transfer to other elements in the circuit to produce an over-voltage dynamic behavior. The dynamic is most accurately characterized by a resonant transfer of energy from the parasitic inductance to the effective circuit capacitance with damping provided by the resistances (parasitic or otherwise) inherent in the circuit. This is the classic inductive load voltage overshoot governed by Faraday’s Law – a potentially destructive voltage transient is created that is often overlooked, yet can systematically compromise the reliability of the hot-swap MOSFET, the hot-swap controller, and downstream circuits.
Because it permits the highest possible current to build up before the fault is detected, a zero impedance short-circuit asserted directly across the output of the circuit in Fig. 1 is especially troublesome. After the short-circuit fault response time, the pass MOSFET is finally commanded off by the hot-swap controller in a “circuit-breaker” event and the forward current is rapidly interrupted.
A voltage clamp is invariably required to limit the over-voltage amplitude. The parasitic energy must be dumped into the clamp when the MOSFET turns off. The unclamped over-voltage peak can be approximated by Equation 1:
Vin_peak=VIN + IPZo (1)
Where:
IP = Input current before circuit interruption
ZO = Characteristic impedance of the equivalent LC circuit
It can be argued that while a local input bypass capacitance Cin is helpful as it reduces ZO, it is seldom practical as the pulse of current to charge Cin upon card insertion/hot-plug is generally detrimental to the capacitor’s reliability. Given the capacitor’s location before the hot-swap circuit, it thus represents a system-level reliability concern and is typically not installed.
TVS Diodes in Hot-Swap Systems
To prevent damage to vulnerable downstream components under these conditions, a fast response, unidirectional TVS (Transient Voltage Suppression) silicon diode[4] is connected from VIN to GND in shunt protective configuration as shown in Fig. 1. A TVS diode is similar to a zener diode but with optimized die element area and bonding to cater for the large surge current and peak power dissipation that exists during avalanche breakdown (ABD). Electrical testing and screening of the devices also differ given their dissimilar target applications.
| Relevant TVS Parameter | Symbol | Value | Related TVS Parameter | Symbol | Value |
| Reverse stand-off voltage | VR, VSO or VWM | 15V | Max reverse leakage current / standby current at VR | IR | 5 μA |
| Breakdown voltage * | VBR | 16.7V – 18.5V | Test current at VBR | IT | 1 mA |
| Max clamping voltage ** | VC(max) | 24.4V | Max peak pulse current at VC(max) using 10/1000μs waveform | IPP | 205A |
| Peak pulse power *** | PPP | 5 kW (= VC(max) x IPP) | Pulse duration | td | |
| Junction capacitance | Cj | 500 pF @ 15V | | | |
| Temperature coefficient | αVBR or ΔVBR/ΔT | 0.1% VBR @ 25°C per °C | | | |
| Thermal resistance junction-to-lead | RθJL | 15°C/W | Component package | | DO-214AB (SMC J-bend) |
| * VR = 90% VBR(min). VBR(min) ~–90% VBR(max). ** VC(max) is typically 145% VBR(min)[5]. *** PPP rating is specified at TA = 25°C and derates linearly from 25°C to 150°C with the 10/1000 μs reference waveform at 0.01% duty cycle repetition rate. | |||||
In hot-swap applications, the TVS serves primarily as a shunt path to ground for the differential mode current that needs to be interrupted.
The boundaries restricting a TVS in such hot-swap applications are driven by the following parameters:
(1)Electrical
- Stand-off voltage VR (equal to or greater than the DC or continuous peak operating voltage level);
- Peak pulse power PPP (related to the active p-n junction area);
- Clamping voltage VC(max) at the subjected peak pulse current IP (circuit-breaker event);
- Sharpness of the I–V curve impacting the required voltage overhead;
(2)Mechanical
- Finite available PC board area
- Component form factor (footprint and profile) specification
- Thermal and heatsinking properties
(3)Cost
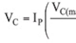
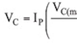
The relevant parameters of a TVS manufactured by Littelfuse and suitable for protecting the circuit exemplified in Fig. 1 are presented in Table 1. The piecewise linear-approximated I-V characteristic curve of this TVS is depicted in Fig. 2. The reverse breakdown voltage, VBR, and standoff voltage, VR, determine the levels at which the TVS device turns on and turn off (conducting state and high impedance), respectively. The product of the clamping voltage, VC(max), and the rated peak pulse current, IPP, equates to the nominal TVS power rating. The actual clamping voltage for a circuit pulse current of amplitude IP is given by Equation (2).
The quantity in brackets in this equation is the TVS dynamic impedance, Rd, during ABD. Note that a TVS with higher power rating will provide higher IPP for a given VC(max) and will thus have lower dynamic impedance. So, if a sharper knee is required, it can be advantageous to select a larger TVS than that ordinarily required based solely on peak power specifications. Particularly relevant TVS figure-of-merits (FOM) are the clamping factor, CF = VC(max)/VBR, and the voltage clamping ratio, VC(max)/VR.
The typical double exponential 10/1000µs test waveform (10 μs being the front time and 1000 μs being the fall time to one-half peak value) with which TVS PPP ratings are typically specified is based on a late 1960s Bell labs specification. The pulse is a non-repetitive one-shot event or, at worst, repetitive with very low duty cycle (e.g. 0.01%) such that the die’s thermal equilibrium time constant enables the die to cool back to the ambient temperature before the next pulse arrives. The specification with pulse durations other than the 10/1000μs reference can be derived using the PPP vs td curve, an example of which is shown in Fig. 3a[4]. This is recognized as the characteristic Wunsch-Bell log-log plot[5] where, for pulse durations up to approximately 1 ms, PPP and td are related as specified by Equation (3). As expected, the TVS can sustain higher peak power levels for shorter pulse widths.
Where:
C = Constant of proportionality related to the size of the TVS
PPP and IPP ratings during ABD are generally proportional to TVS junction die size so devices with differing PPP ratings will normally scale vertically along the power axis while retaining the same negative slope as in Fig. 3a. The factor K is dictated by the current waveform shape and is based on the energy, e-- see Equation (4)-- or the area under the current waveform over the pulse duration. Triangular, double exponential, and half-sine wave pulses have K factors of 2, 1.5, and 1.33 times that of a square wave pulse, respectively[5]. Thus, a TVS with triangular wave current has a PPP vs td curve scaled 1.33 times higher than the datasheet curve referenced with a 10/1000 μs waveform.
The time for the current in the TVS to fall to zero, tp, in a hot-swap circuit implementation is governed by the circuit parasitic inductance, L, as specified by Equation (5). As the current decay is linear, the current waveform is triangular and given by Equation (6).
Shown in Fig. 3b is the PPP thermal derating with increasing ambient temperature. It is important to bear in mind that the PCB to which the (surface-mount) TVS is soldered acts as a primary method of heatsinking. As such, the TVS can leverage the copper polygons, planes and thermal vias that are already available in the motherboard PCB layer stack-up to improve its thermal characteristics.
TVS Selection Procedure
A judiciously chosen TVS for a hot-swap circuit application is obtained (iteratively) as follows:
- Select a unidirectional TVS with standoff voltage, VR, equal to or greater than the DC or continuous peak operating bus voltage level. A 14V or 15V TVS is appropriate for a low impedance 12VDC ±10% server system input bus.
- Determine the peak pulse current level, IP, based on the hot-swap controller circuit breaker threshold voltage, its response time, and the chosen shunt resistor.
- Using Equation (2), calculate the circuit clamp voltage, VC, given the IP level derived from step 2 and the relevant datasheet parameters. Is VC low enough? If not, the alternative is to use a larger TVS to obtain a sharper knee.
- Find the product of VC and IP to get the actual peak power level sustained by the TVS.
- Using Equation (5) and knowing the input parasitic inductance, determine the pulse duration, td, of the triangular pulse waveform (i.e. time to decay to zero).
- Derate PPP for the pulse duration in step 5 using a plot akin to Fig. 3a. As mentioned previously, the triangular pulse current waveshape enables 33% higher pulse power relative to the double exponential reference waveform curve.
- Derate PPP for ambient temperature using a plot akin to Fig. 3b. The mutual heating effect from adjacent components should also be considered.
- Does the net derated PPP from step 7 provide adequate design margin (at least 50%) over the actual TVS peak power calculated from step 4? If not, choose a larger TVS and repeat steps 1-8.
Experimental Results
Let’s consider a practical implementation based on the LM25066 hot-swap controller evaluation board[1] with an input voltage range of 12V±10%. From the previous discussion, it is recognized that high current slew rates coupled with parasitic inductances in series with the input path could cause potentially destructive transients to appear at the VIN and SENSE pins of the LM25066 following a turn-off command to the pass MOSFET. A 15V Littelfuse TVS, 5.0SMDJ15A, is connected across the input as close to the IC as possible. With a 0.5 mΩ shunt, the LM25066 provides an active current limit at 50A (25 mV current limit threshold voltage) with a fast-acting circuit breaker function at 90A (45 mV circuit breaker threshold voltage). The relevant current and voltage waveforms during a short circuit are illustrated in the scope waveforms of Fig. 3.
As the input current increases from its initial steady-state level of 45A during the short-circuit event, the supply rail impedance causes the input voltage to sag. When the input current reaches 90A, the pass MOSFET turns off (green current trace). The input voltage has an initial spike due to parasitic trace inductance but quickly gets clamped by the TVS at approximately 18V. Given the TVS dynamic impedance, the clamp voltage reduces slightly as the TVS current decreases towards zero. The time for the TVS current to ramp to zero, 11 ms, is the pulse duration, td, for TVS selection. From Equation (5), the current slew rate and the clamping voltage of 18V indicate that the series parasitic inductance is 1.1 μH and its peak stored energy at 90A is hence 8.9 mJ. This energy also corresponds to the area under the TVS instantaneous power waveform in Fig. 4.
A TVS should be considered an essential circuit component in high current systems, enabling increased robustness and reliability during transient circuit events.
References
- LM25066 System Power Management and Protection IC with PMBus, http://www.national.com/pf/LM/LM25066.html
- LM5066/4 (Positive/Negative) High Voltage System Power Management and Protection IC with PMBus http://www.national.com/en/power/hv_hot_swap.html
- Server and Data Center Specifications http://opencompute.org/
- Littelfuse TVS Diode Catalog, http://www.littelfuse.com/tvs-diode.html
- Microsemi Application Notes 120, 125, 134, http://www.microsemi.com/support/micnotes.asp
Related Articles
Hot-Swap Power Controllers Continue To Make Progress
Hot-swap power controllers have usually protected circuit boards and telecom/networking systems from damage when cards or boards are either removed or installed under live condition.
Amplifier Senses Currents At Large Negative Voltages
In telecom and other systems with high-voltage negative supply rails, a simple combination of an instrumentation amplifier and discrete components enables high-side current sensing for circuit protection.
Filling the Gaps in Surge Protection
A new circuit protection technology safeguards equipment against voltage surges and the inrush currents that follow voltage-sag events.
Overcurrent-Protection ICs Have Their Current Limits
Solid-state overcurrent-protection ICs offer a simple and robust protection for pins at risk of overloads
About the Author
Voice Your Opinion!
To join the conversation, and become an exclusive member of Electronic Design, create an account today!

Leaders relevant to this article:
