Buck-Converter Design Demystified
Stepdown (buck) switching converters are integral to modern electronics. They can convert a voltage source (typically 8 V to 25 V) into a lower regulated voltage (typically 0.5 V to 5 V). Stepdown converters transfer small packets of energy using a switch, a diode, an inductor and several capacitors. Though substantially larger and noisier than their linear-regulator counterparts, buck converters offer higher efficiency in most cases.
Despite their widespread use, buck-converter designs can pose challenges to both novice and intermediate power-supply designers because almost all of the rules of thumb and some of the calculations governing their design are hard to find. And though some of the calculations are readily available in IC data sheets, even these calculations are occasionally reprinted with errors. In this article, all of the design information required to design a buck converter is conveniently collected in one place.
Buck-converter manufacturers often specify a typical application circuit to help engineers quickly design a working prototype, which in turn often specifies component values and part numbers. What they rarely provide is a detailed description of how the components are selected. Suppose a customer uses the exact circuit provided. When a critical component becomes obsolete or a cheaper substitute is needed, the customer is usually without a method for selecting an equivalent component.
This article covers only one stepdown regulator topology — one with a fixed switching frequency, pulse width modulation (PWM) and operation in the continuous-current mode (CCM). The principles discussed can be applied to other topologies, but the equations do not apply directly to other topologies. To highlight the intricacies of stepdown converter design, we present an example that includes a detailed analysis for calculating the various component values. Four design parameters are required: input-voltage range, regulated output voltage, maximum output current and the converter's switching frequency. Fig. 1 lists these parameters, along with the circuit illustration and basic components required for a buck converter.
Inductor Selection
Calculating the inductor value is most critical in designing a stepdown switching converter. First, assume the converter is in CCM, which is usually the case. CCM implies that the inductor does not fully discharge during the switch-off time. The following equations assume an ideal switch (zero on-resistance, infinite off-resistance and zero switching time) and an ideal diode:
where fSW is the buck-converter switching frequency and LIR is the inductor-current ratio expressed as a percentage of IOUT (e.g., for a 300-mAp-p ripple current with a 1-A output, LIR = 0.3 A/1 A = 0.3 LIR).
An LIR of 0.3 represents a good tradeoff between efficiency and load-transient response. Increasing the LIR constant — allowing more inductor ripple current — quickens the load-transient response, and decreasing the LIR constant — thereby reducing the inductor ripple current — slows the load-transient response. Fig. 2 depicts transient response and inductor current for a given load current, for LIR constants ranging from 0.2 to 0.5.
Peak current through the inductor determines the inductor's required saturation-current rating, which in turn dictates the approximate size of the inductor. Saturating the inductor core decreases the converter efficiency, while increasing the temperatures of the inductor, the MOSFET and the diode. You can calculate the inductor's peak operating current as follows:
For the values listed in Fig. 1, these equations yield a calculated inductance of 2.91 µH (LIR = 0.3). Select an available value that is close to the calculated value, such as a 2.8 µH, and make sure that its saturation-current rating is higher than the calculated peak current (IPEAK = 8.09 A).
Choose a saturation-current rating that's large enough (10 A in this case) to compensate for circuit tolerances and the difference between actual and calculated component values. An acceptable margin for this purpose, while limiting the inductor's physical size, is 20% above the calculated rating.
Inductors of this size and current rating typically have a maximum dc resistance range (DCR) of 5 mΩ to 8 mΩ. To minimize power loss, choose an inductor with the lowest possible DCR. Although data sheet specifications vary among vendors, always use the maximum DCR specification for design purposes rather than the typical value, because the maximum is a guaranteed worst-case component specification.
Output Capacitor Selection
Output capacitance is required to minimize the voltage overshoot and ripple present at the output of a stepdown converter. Large overshoots are caused by insufficient output capacitance, and large voltage ripple is caused by insufficient capacitance as well as a high equivalent-series resistance (ESR) in the output capacitor. The maximum allowed output-voltage overshoot and ripple are usually specified at the time of design. Thus, to meet the ripple specification for a stepdown converter circuit, you must include an output capacitor with ample capacitance and low ESR.
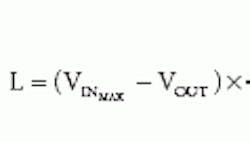
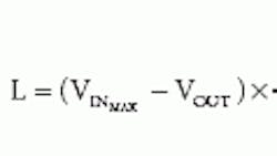
The problem of overshoot, in which the output-voltage overshoots its regulated value when a full load is suddenly removed from the output, requires that the output capacitor be large enough to prevent stored inductor energy from launching the output above the specified maximum output voltage. Output-voltage overshoot can be calculated using the following equation:
Rearranging Eq. 2 yields:
where CO equals output capacitance and ΔV equals maximum output-voltage overshoot.
Setting the maximum output-voltage overshoot to 100 mV and solving Eq. 3 yields a calculated output capacitance of 442 µF. Adding the typical capacitor-value tolerance (20%) gives a practical value for output capacitance of approximately 530 µF. The closest standard value is 560 µF. Output ripple due to the capacitance alone is given by:
ESR of the output capacitor dominates the output-voltage ripple. The amount can be calculated as follows:
Be aware that choosing a capacitor with very low ESR may cause the power converter to be unstable. The factors that affect stability vary from IC to IC, so when choosing an output capacitor, be sure to read the data sheet and pay special attention to sections dealing with converter stability.
Adding the output-voltage ripple due to capacitance value (the first term in Eq. 4) and the output-capacitor ESR (the second term in Eq. 4) yields the total output-voltage ripple for the stepdown converter:
A decent stepdown converter usually achieves an output-voltage ripple of less than 2% (40 mV in our case). For a 560-µF output capacitance, Eq. 5 yields 18.8 mΩ for the maximum calculated ESR. Therefore, choose a capacitor with ESR that's lower than 18.8 mΩ and a capacitance that's equal to or greater than 560 µF. To achieve an equivalent ESR value less than 18.8 mΩ, you can connect multiple low-ESR capacitors in parallel.
Fig. 3 presents output-ripple voltage versus output capacitance and ESR. Because our example uses tantalum capacitors, capacitor ESR dominates the output-voltage ripple.
Input Capacitor Selection
The input capacitor's ripple-current rating dictates its value and physical size, and the following equation calculates the amount of ripple current the input capacitor must be able to handle:
Fig. 4 plots ripple current for the capacitor (shown as a multiple of the output current) against the input voltage of the buck converter (shown as a ratio of output voltage to input voltage). The worst case occurs when VIN = 2VOUT (VOUT/VIN = 0.5), yielding IOUTMAX / 2 for the worst-case ripple-current rating.
The input capacitance required for a stepdown converter depends on the impedance of the input power source. For common laboratory power supplies, 10 µF to 22 µF of capacitance per ampere of output current is usually sufficient. Given the design parameters of Fig. 1, you can calculate the input-ripple current as 3.16 A. You then can start with 40 µF in total input capacitance and can adjust that value according to subsequent test results.
Tantalum capacitors are a poor choice for input capacitors. They usually fail “short,” meaning the failed capacitor creates a short circuit across its terminals and thereby raises the possibility of a fire hazard. Ceramic or aluminum-electrolytic capacitors are preferred because they don't have this failure mode.
Ceramic capacitors are the better choice when pc-board area or component height is limited, but ceramics may cause your circuit to produce an audible buzz. This high-pitched noise is caused by physical vibration of the ceramic capacitor against the pc board as a result of the capacitor's ferroelectric properties and piezo phenomena reacting to the voltage ripple. Polymer capacitors can alleviate this problem. Polymer capacitors also fail short, but they are much more robust than tantalums, and therefore are suitable as input capacitors.
Diode Selection
Power dissipation is the limiting factor when choosing a diode. The worst-case average power can be calculated as follows:
where VD is the voltage drop across the diode at the given output current IOUTMAX. (Typical values are 0.7 V for a silicon diode and 0.3 V for a Schottky diode.) Ensure that the selected diode will be able to dissipate that much power. For reliable operation over the input-voltage range, you must also ensure that the reverse-repetitive maximum voltage is greater than the maximum input voltage (VRRM ≥ VINMAX). The diode's forward-current specification must meet or exceed the maximum output current (i.e., IFAV ≥ IOUTMAX).
MOSFET Selection
Selecting a MOSFET can be daunting, so engineers often avoid that task by choosing a regulator IC with an internal MOSFET. Unfortunately, most manufacturers find it cost prohibitive to integrate a large MOSFET with a dc-dc controller in the same package, so power converters with integrated MOSFETs typically specify maximum output currents no greater than 3 A to 6 A. For larger output currents, the only alternative is usually an external MOSFET.
The maximum junction temperature (TJMAX) and maximum ambient temperature (TAMAX) for the external MOSFET must be known before you can select a suitable device. TJMAX should not exceed 115°C to 120°C and TAMAX should not exceed 60°C. A 60°C maximum ambient temperature may seem high, but stepdown converter circuits are typically housed in a chassis where such ambient temperatures are not unusual. You can calculate a maximum allowable temperature rise for the MOSFET as follows:
Inserting the values mentioned above for TJMAX and TAMAX into Eq. 7 yields a maximum MOSFET temperature rise of 55°C. The maximum power dissipated in the MOSFET can be calculated from the allowable maximum rise in MOSFET temperature:
The type of MOSFET package and the amount of pc-board copper connected to it affect the MOSFET's junction-to-ambient thermal resistance (ΘJA). When ΘJA is not specified in the data sheet, 62°C/W serves as a good estimate for a standard SO-8 package (wire-bond interconnect, without an exposed paddle), mounted on 1 in.2 of 1-oz pc-board copper.
There exists no inverse linear relationship between a ΘjA value and the amount of copper connected to the device, and the benefit of decreasing the ΘJA value quickly dwindles for circuits that include more than 1 sq in. of pc-board copper. Using ΘJA = 62°C/W in Eq. 8 yields a maximum allowable dissipated power in the MOSFET of approximately 0.89 W.
Power dissipation in the MOSFET is caused by on-resistance and switching losses. On-resistance loss can be calculated as:
Because most data sheets specify the maximum on-resistance only at 25°C, you may have to estimate the value of on-resistance at TJHOT. As a rule of thumb, a temperature coefficient of 0.5%/°C provides a good indicator for maximum on-resistance at any given temperature. Thus, the hot on-resistance is calculated as:
Assuming the on-resistance loss is approximately 60% of the total MOSFET losses, you can substitute in Eq. 10 and rearrange to yield Eq. 11, the maximum allowable on-resistance at 25°C:
Switching losses constitute a smaller portion of the MOSFET's power dissipation, but they still must be taken into account. The following switching-loss calculation provides only a rough estimate, and therefore is no substitute for evaluation in the lab, preferably a test that includes a thermocouple mounted on P1 as a sanity check.
where CRSS is the reverse-transfer capacitance of P1, IGATE is the peak gate-drive source/sink current of the controller and P1 is the high-side MOSFET.
Assuming a gate drive of 1 A (obtained from the gate driver/ controller data sheet) and a reverse-transfer capacitance of 300 pF (obtained from the MOSFET data sheet), Eq. 11 yields a maximum RDS(ON)25°C of approximately 26.2 mΩ. Recalculating and summing the on-resistance losses and the switching losses yields a net dissipated power of 0.676 W. Using this figure, you can calculate for the MOSFET a maximum temperature rise of 101°C, which is within the acceptable temperature range.
Stepdown-Converter Efficiency
Minimizing power loss throughout the converter will extend battery life and reduce heat dissipation. The following equations calculate power loss in each section of the converter.
Input capacitor ESR loss: PCIRMS =ICIRMS2 x ESRCI.
Refer to Eqs. 6, 9 and 12 for losses due to the diode, the MOSFET on-resistance and the MOSFET switching loss.
Inductor DCR loss:
Pc-board copper Loss: Pc-board copper loss is difficult to calculate accurately, but Fig. 5 provides a rough estimate of the amount of resistance per square area of pc-board copper. With Fig. 5, you can use a simple I2R power dissipation equation to calculate the power loss.
The following equation sums all of the power losses throughout the converter, and accounts for those losses in the expression for converter efficiency:
Assuming a reasonable net copper loss of approximately 0.75 W, the efficiency for this converter is 69.5%. Replacing the silicon diode with a Schottky diode increases the efficiency to 79.6%, and replacing the diode with a MOSFET synchronous rectifier further increases the efficiency to 85% at full load.
Fig. 6 depicts a breakdown of power losses in the converter. Doubling the copper weight to 2 oz or tripling it to 3 oz minimizes the copper loss and thereby increases the efficiency to approximately 86% to 87%.
Careful pc-board layout is critical in achieving low switching losses and stable operation for a stepdown converter. Use the following guidelines as a starting point:
-
Keep the high-current paths short, especially at the ground terminals.
-
Minimize connection lengths to the inductor, MOSFET and diode/synchronous MOSFET.
-
Keep power traces and load connections short and wide. This practice is essential for high efficiency.
-
Keep voltage- and current-sensing nodes and traces away from switching nodes.
Verifying Performance
When designing or modifying a stepdown switching-regulator circuit (one that operates in CCM, using PWM), you can use the equations in this article to calculate values for the critical components and characteristics required. You should always lab-test the circuit to verify final electrical and thermal specifications. For acceptable circuit operation, a proper pc-board layout and judicious component placements are as critical as choosing the right components.
More on Buck Converters
• Buck-Converter Design Demystified • Optimizing Voltage Selection in Buck Converters • Power Conversion Synthesis Part 1: Buck Converter Design • Improving Efficiency in Synchronous Buck ConvertersVoice Your Opinion!
To join the conversation, and become an exclusive member of Electronic Design, create an account today!

Leaders relevant to this article:
