Inverter Design Shines in Photovoltaic Systems
The electric utility grid-connected photovoltaic (PV) system is an important technology for future renewable energy applications. This requires the design of a high-efficiency grid-connected inverter that delivers power to the grid with low total harmonic distortion (THD) and high power factor (PF).
There are two basic types of grid-connected inverters: voltage-source inverters (VSI) and current-source inverters (CSI). A VSI grid-connected system requires the system's output voltage to be boosted and regulated, which greatly increases its complexity and cost.
Compared with a VSI system, the output current of a CSI system is not influenced by grid voltage (UGRID), so its grid current (IGRID) has low THD and high PF. Also, when the input voltage to a CSI system is lower than the peak value of UGRID, it can successfully interface with the grid. Consequently, the input voltage to a grid-connected inverter is not restricted by UGRID. Therefore, the current-source grid-connected inverter is ideal for a PV generation system.
The immittance converter theory, which is a variation of the impedance-admittance converter, has been analyzed in detail in several papers. A novel topology is being proposed for a current-source grid-connected inverter based on the immittance converter theory. Compared with the traditional current-source inverter that employs power-frequency inductors and transformers, the proposed topology uses high-frequency inductors and transformers, resulting in a small-volume, low-cost system with low THD and high PF.
The new topology employs a disturbance observer derived by monitoring the PV cell output voltage and cycle-by-cycle current to determine the output power. By analyzing the disturbance, the injection direction can easily be obtained. By estimating the output power, the disturbance injection direction can be determined, which can achieve the maximum power point tracking (MPPT). This method is the traditional MPPT solution, which provides a quick response. However, its disadvantages are more components and higher costs.
A concept that will be explored here is the injection of a disturbance (δΠ that causes the system's duty cycle (DCYCLE) to vary. The MPPT can be determined by tracking and programming the DCYCLE variation caused by injection of the input δ. The direction of the DCYCLE variation needs to be known, as it will affect the inverter's next switching cycle. This disturbance observer uses a new concept for dc MPPTs, obtained by monitoring the inverter output current as an input parameter. This simplifies the control algorithm and cuts down the voltage sense in the disturbance observer, providing significant cost savings.
System Topology
Fig. 1 is the circuit diagram for the current-source grid-connected inverter. The proposed system consists of a high-frequency full-bridge inverter, immittance converter, center-tapped transformer, high-frequency bridge rectifier, power frequency inverter and low-pass filter. For the purposes of this discussion, certain nodes in the circuit are highlighted as test points (TP) and given letter designations. For example, test point A is TPA (the test point letter designations are circled in Fig. 1 for easy reference).
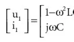
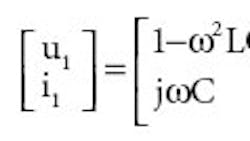
The immittance converter has two inductors, L1 and L2, and a capacitor, C2, which provides the voltage-source to current-source conversion. Inductances L1 = L2 = L, and the transfer function is:
where ω is the resonant frequency of the immittance converter. When the carrier-frequency of the high-frequency inverter is equal to the resonant frequency, that is ω=1/√LC, Eq. 1 becomes:
where Z0 = √LC is the characteristic impedance of the immittance converter. From Eq. 2, the input voltage (u1) of the immittance converter is proportional to the output current (i2) of the immittance converter. Therefore, the immittance converter effectively converts a voltage source into a current source.
A sine-sine pulse-width modulator (SPWM) controls this high-frequency inverter. The immittance converter produces a high-frequency current with a sinusoidal envelope. The center-tapped transformer, high-frequency rectifier bridge, power-frequency inverter and low-pass filter deliver the sinusoidal current to the grid.
From the aforementioned analysis, the carrier frequency of the high-frequency inverter is equal to the resonant frequency of the immittance converter. Furthermore, to avoid core saturation, the positive-drive pulse width must be equal to the negative-drive pulse width during every resonant period.
Control Strategy
The operation of the circuit in Fig. 1 can be defined by the following series of equations:
The pulse-width voltage of TPB (uTPB) can be obtained by a Fourier Series expression, where the pulse width is Dπ, sin (2m-1)Dπ/2 is the harmonic amplitude of the high-frequency inverter and cos (2m-1)Dπ/2 is the odd harmonic components of resonant frequency (ωS). The pulse-width voltage can be seen in Fig. 2.
where D is the pulse width, m is equal to 1~∞ and Ud is the dc line voltage at time (t).
Since the immittance converter works as a special band-pass filter, the current of TPC (iTPC) is obtained when m = 1. According to Eq. 2, it is clear that iTPC is 1/Z0 times the voltage of TPB:
During the positive half-cycle of UGRID, switch V5 turns on and rectifier diodes VD1 and VD3 naturally commutate. The current at TPE (iTPE) is:
From Eq. 9, grid current (I GRID) only depends on the D CYCLE and the input dc voltage (U d). Thus, I GRID is independent of U GRID.
The conventional inverter often adopts the SPWM control scheme. According to the symmetric regular sampled method, pulse width D is:
where M is the modulation depth and θ is the electric angle. When M is equal to 1, substituting Eq. 10 into Eq. 9, the iTPG is:
Obviously, it can be seen from Eq. 11 that IGRID is not a pure sine wave (Fig. 3). Consequently, the conventional SPWM control scheme will produce a high THD.
While the SPWM proposed here can be implemented with nearly sinusoidal current, if the sine modulation wave is uS = USsinθ, then the pulse width is:
where UT and uT relate to the carrier waveform, while US and uS relate to the modulation waveform.
Substituting Eq. 12 into Eq. 9:
Therefore, grid sinusoidal current is achieved by the SPWM scheme. The harmonic components IGRID are decreased greatly. Fig. 3 illustrates the SPWM strategy.
In order for the grid to have a unity power factor, there must be synchronization between IGRID and UGRID. This can be approached by using the zero-crossing point of UGRID to control the inverter switches. When the zero crossing point of UGRID goes negative to positive, V6 turns off and V5 turns on. And once UGRID goes positive to negative, V5 turns off and V6 turns on.
MPPT Method
According to the theory of a disturbance observer, assume DCYCLEk+1 and DCYCLEk are the duty cycles at time k+1 and k; Δδ is the variation of disturbance; and Pk and Pk-1 are the corresponding PV cell output power at k and k-1. The definition of sin is:
When proceeding with MPPT, the system needs to compare the value between Pk and Pk-1. The DCYCLE should be continually added when Pk > Pk-1, otherwise reduce it. So, the coming DCYCLE can be demonstrated by:
DCYCLEK+1 = DCYCLEk + |Δδ|sin(Δδ) sin(Pk-Pk-1).
Fig. 4 is the output U-P curve (the curve of voltage and power) of the PV cell. Given that the initial operating point is P2, injected disturbance |Δδ|, when the output power is enhanced, the operating point will be shifted to P3, output power increasing, which illustrates the disturbance direction is correct. Contrarily, if the injected disturbance is -|Δδ|, the operating point shifts to P1 and output power decreases, which says the disturbance direction is wrong. Finally, the operating point will be shifted to Pn.
A traditional disturbance observer needs to sample the output voltage and output current of the PV cell synchronously. If the MPPT can be realized only by monitoring the output current of the inverter, this brings two advantages: the elimination of a multiplier device and two sensors, thus reducing bill-of-material costs. The orientation point of dc MPPT was just discussed. What follows is a detailed explanation of the operating theory. Two assumptions are given:
-
The inverter's dissipation is zero, meaning the output power of the PV cell is equal to the output power of the inverter.
-
The line voltage is constant.
Eq. 18 is the determining item to judge how to realize the control dc MPPT, from which it's determined that only current sensor is needed. By checking the IGRID value, the disturbance direction can be determined, and previous calculations like output voltage, output current and power are not needed anymore. This results in a simplification of the design and in reduced costs.
By tracking IGRID, modulating the pulse-width variation and maintaining the converter's output current, the maximum status is held so that the PV cell can achieve its highest output power.
Experimental Results
To validate the performance of the proposed topology and control strategy, a laboratory prototype was implemented and tested. The main power topology can be seen in Fig. 1, in which all power devices used in the system are from Fairchild Semiconductor. The table lists the experimental parameters.
Fig. 5 illustrates the experimental waveforms of the grid connection. Fig. 5a shows the waveforms of IGRID and UGRID; Fig. 5b is the THD of IGRID, which is 4.7% times the fundamental amplitude; Fig. 5c is the PF of IGRID, which is 0.99; Fig. 5d, at t = 200 msec, shows that the modulation depth of the high-frequency inverter increases from 0.7 to 0.9 and IGRID increases; Fig. 5e is the curve of MPPT in one day.
The current-source grid-connected inverter topology proposed here is based on the immittance converter theory and the SPWM scheme. This approach achieves the maximum output current without the need for the PV cell's output characteristic. This proposed system has the advantages of simple control, small volume, low THD and high PF. And, experimental results confirm the validity and feasibility of the proposed topology and control strategy.
Additional Reading
- Aiello, M.; Cataliotti, A.; Favuzza, S.; and Graditi, G. “Theoretical and Experimental Comparison of Total Harmonic Distortion Factors for the Evaluation of Harmonic and Interharmonic Pollution of Grid-Connected Photovoltaic Systems,” IEEE transactions on power delivery, 2006, 21(3), pp. 1390-1397.
- Kojabadi, H.M.; Yu, B.; Gadoura, I.A.; and Chang, L. “A Novel DSP-based Current-controlled PWM Strategy for Single Phase Grid Connected Inverters,” IEEE transactions on power electronics, 2006, 21(4), pp. 985-993.
- Barbosa, P.G.; Braga, H.A.C.; Rodrigues, M.C.B.; and Teixeira, E.C. “Boost Current Multilevel Inverter and its Application on Single-phase Grid-connected Photovoltaic Systems,” IEEE transactions on power electronics, 2006, 21(4), pp. 1116-1124.
- Irie, H.; Takashita, S.; Kimura, H.; Eguchi, M.; and Hiyoshi, K. “Utility Interactive Inverter Using Immittance Converter,” IEE of Japan transactions, 2000, 120-D(3), pp. 410-416.
- Irie, H. and Yamada, H. “Immittance Converters Suitable for Power Electronics,” IEE of Japan transactions, 1997, 117-D (8), pp. 962-969.
- Irie, H.; Minami, N.; Miniami, H.; and Kitayoshi, H. “Non-contact Energy Transfer System Using Immittance Converter,” IEE of Japan transactions, 2000, 120-D (6), pp. 789-793.
- Irie, H. and Kawabata, Y. “Hybrid Type Immittance Converter,” IEE of Japan transactions, 2001, 121-D(1), pp. 119-124.
- Borage, M.; Tiwari, S.; and Kotaiah, S. “Analysis and Design of an LCL-T Resonant Converter as a Constant Current Power Supply,” IEEE transactions on industrial electronics, 2005, 52(6), pp. 1547-1554.
- Tamate, M.; Ohguchi, H.; Hayashi, M.; Shimizu, T.; and Takagi, H. “A Novel Approach of Power Converter Topology Based on the Immittance Conversion Theory,” ISIE, 2000, Mexico.
- Case, M.J.; Joubert, M.J.; and, Harrison, T.A. “A Novel Photovoltaic Array Maximum Power Point Tracker,” EPE-PEMC, 2002, Dubrovnik, Croatia, pp. T5-005.
- Snyman, D.B. and Enslin, J.H.R. “Simplified Maximum Power Point Controller for PV Installations,” IEEE Photovoltaic Specialists Conference, Louisville, Ky., 1993, pp. 1240-1245.
Voice Your Opinion!
To join the conversation, and become an exclusive member of Electronic Design, create an account today!

Leaders relevant to this article:
