Every DAQ System Deserves Well-Conditioned Signals
The term signal conditioning describes the processes intentionally provided in a signal’s path between its source and destination, typically within a measurement system. It’s a very broad term that may include excitation to a sensor or transducer; amplification, attenuation, filtering, and isolation of the sensor or transducer output; and perhaps conversion between analog and digital formats.
If you assume a sensor and the excitation it receives are perfect, then the role of signal conditioning is to create an accurate copy of the sensor output but in a form better suited to the measurement instrument or for additional processing. For example, a digital voltmeter presents a very low-offset, high-impedance input to the signal; amplifies or attenuates it as required; and digitizes it with high resolution and low noise. The digital data is further scaled and displayed as a decimal value.
There are many types of signals, and each requires special treatment to ensure measurement accuracy. Sheri DeTomasi, product manager at Agilent Technologies, described how this need is addressed in the company’s 34970A/72A/80A Data Acquisition (DAQ) Systems, “The DAQ systems feature universal inputs, built-in conversion tables, and optional cold reference junction for use with thermocouples. Eleven measurement types are covered with 22-bit resolution: temperature with thermocouples, RTDs, and thermistors; DC and AC volts; two- and four-wire resistance; frequency and period; and AC and DC current.
“The universal inputs apply the right switching, ranging, and amplification or attenuation, eliminating the need for any additional signal conditioning on common measurements up to 300 V,” she continued. “The selected transducer converts the physical measurement into an electrical value, and then the conversion tables mathematically derive the actual temperature reading in degrees F, C, or K.”
Andrew Dawson, sales manager business development at DynamicSignals, highlighted other dimensions of the signal conditioning equation. “We provide both sensor-specific signal conditioning and programmable signal conditioning as a means of matching the DAQ hardware to the customer’s budget,” he said. “Full flexibility in a front-end signal conditioner comes at a cost, both monetarily and in reduced channel density.
“Our Model CP213 module includes programmable gain and a fixed filter per channel,” Dr. Dawson explained. “The filter frequencies are between 10 Hz and 1 kHz and selected when the customer’s order is placed. Either 64 differential channels or 128 single-ended channels are provided. In contrast, on a per-channel basis, the eight-channel Model CP246 has gain; six-pole filter; input coupling; bridge completion, shunt calibration, and balance; and voltage/current excitation with local or remote sense. All these features are programmable.”
As well as the DC considerations associated with the voltmeter example, the measurement system’s frequency response is critical. When signals are characterized by wide bandwidths and high speeds, the opportunities for corruption greatly increase.
Domain-Specific Signal Conditioning
Most engineers are familiar with Fourier analysis and, in particular, the idea that a series of sines and cosines can represent any waveform. Textbooks use several common wave shapes as examples in discussions of the Fourier series to show how the set of harmonic coefficients is derived. However, the rate at which the series converges and related aspects of Fourier’s work later developed by Gibbs, Wilbraham, and Fejér are not part of the average engineer’s daily considerations. Nevertheless, although obscure, these factors are key to signal conditioning decisions.
Finite-length Fourier series do not converge to the original function at discontinuities. This is counterintuitive compared to an engineer’s experience with Taylor’s series, for example. To get better agreement with the target function, you simply add more high-order terms. In contrast, with the Fourier series, an overshoot and an undershoot at the discontinuity become narrower as higher frequency terms are added, but the heights remain at about 8.9% of the step.
This effect is called the Gibbs phenomenon and caused by the very slow convergence of a truncated Fourier series near a discontinuity. Any finite-bandwidth system with a fast transition from pass band to stop band cannot reproduce a square wave without encountering Gibbs-related ringing before and after the edges.
Of course, transient recorders and oscilloscopes and even music systems routinely reproduce transients without adding Gibbs effects. They do this by carefully shaping the frequency response of the signal channel to gradually reduce the amplitude of higher order harmonics.
Commonly encountered filters often are known by the name of the engineer or mathematician closely associated with them, such as Butterworth or Bessel. These two are particularly important because the Butterworth filter provides maximally flat frequency response in the pass band and the Bessel filter has maximally linear phase. They are optimized for different applications.
The gain of a Bessel filter is 1.0 only at DC, decreasing slowly with increasing frequency through a very broad transition region between the pass band and stop band. Such a gradual transition is ideal for transient signals.
A Gaussian filter is a mathematically perfect shape similar to a Bessel filter that oscilloscope designers traditionally have attempted to achieve. The slow transition supports a clean step response without Gibbs effect aberrations. Of course, the corresponding frequency response is severely distorted. Rather than being flat, it gradually decreases to 70% at the scope bandwidth and continues slowly decreasing for several more octaves.
Many modern oscilloscopes no longer have a Gaussian characteristic, instead opting for a somewhat flatter pass band and faster stop band. For signals with frequency components totally within the bandwidth, this causes no aberrations. However, for signals faster than the bandwidth, Gibbs ringing does occur, and the user must be aware that the scope has added artifacts that were not present in the original waveform.
The fundamental conflict between the frequency and time domains drives signal conditioning decisions. Some instrument manufacturers provide two sets of filters, one optimized for time-domain transient performance and the other for frequency-domain spectral flatness. In other cases, equipment may be intended for only frequency- or transient-related applications so only one type of filter is available. PC-based systems may leave the choice and implementation up to you depending on the product’s sophistication.
In a transient test instrument, very fast edges are distorted into sloping edges with slew rates related to the system’s bandwidth. To the degree that Gibbs phenomena are not present, the waveform is a good approximation to the actual time-domain signal shape although the rise time will be slowed down. In a frequency-domain instrument such as an FFT analyzer, spectral amplitude accuracy is paramount, so pass band flatness will dominate considerations of transient response.
Filtering in Detail
Gibbs Phenomenon
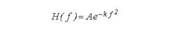
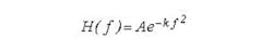
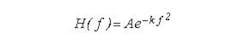
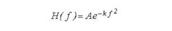
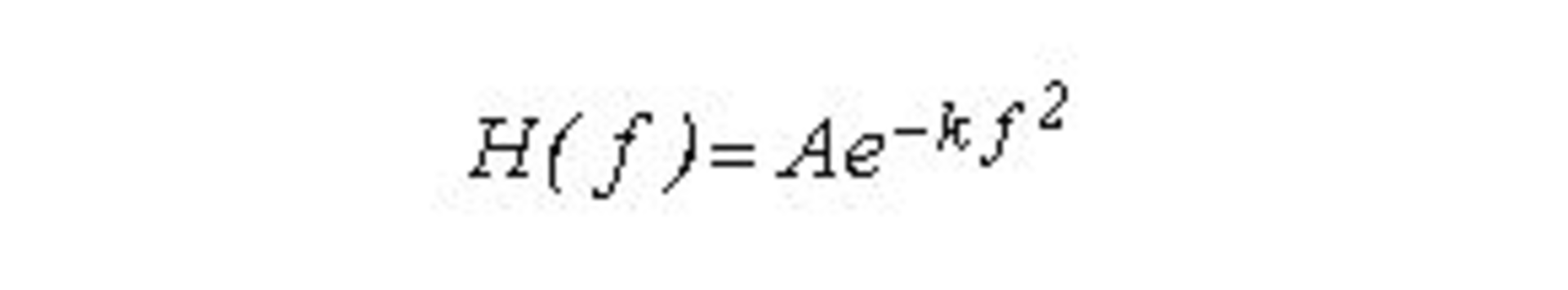
A Gaussian filter, as its name implies, has a Gaussian impulse response defined by
where A and k are scaling factors. The phase associated with Gaussian filters is zero everywhere because the Gaussian function is real with even symmetry—it has no imaginary component.
As shown in Figure 1, Gibbs-related ringing can be completely eliminated by a suitably chosen Gaussian filter. The downside is an increase in rise time. A Gaussian characteristic is not physically realizable as an analog filter, but a Bessel filter can be used as a good approximation. A major difference, however, is the true zero phase contribution of the Gaussian filter compared with the approximately linear phase of the Bessel filter.
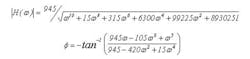
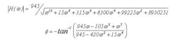
A fifth-order Bessel filter is defined by its magnitude and phase:
As Figure 2 shows, the shapes of the Gaussian and 5th order Bessel filter magnitude responses are similar. The Gaussian filter’s zero phase response is a special case of a linear phase response. A linear phase characteristic delays all frequency components by the same amount of time so the transient response remains very good even though the Bessel filter’s phase response is not zero. It’s sufficiently linear with frequency to have little effect on the shape of the square wave edge.
Also shown by Figure 2 is the large amount of frequency-domain gain error introduced by either type of filter. If you wanted to measure the amplitudes of a signal’s frequency components, these filters would cause large errors.
for Bessel and Gaussian Filters
Interestingly, optimization of sigma-delta ADCs for frequency-domain applications has resulted in resistance to their use in more general-purpose DAQ systems. It’s not the ADC technology itself that’s the problem but instead the sharp cutoff filter used together with decimation to provide a reduced-sample rate result. Rather than encounter this constraint in a highly integrated component intended to provide a flat frequency response, you can achieve high resolution and good transient response by using parts that allow you to control the filter characteristics.1
Anti-Aliasing
Most modern instruments digitize the signal after initial analog amplification and filtering. This means that in addition to solely spectral or transient signal-related considerations, the special requirements of the sampling system also must be addressed.
To avoid aliasing, the sample rate must be at least 2x the signal’s highest frequency content. Here again there is a conflict between the very gradual stop band roll-off associated with good transient response and the high stop band attenuation needed to eliminate aliasing.
The implication is that a higher oversampling ratio will create a wider frequency range above the signal bandwidth in which the anti-alias filter stop band can reside. Indeed, some data acquisition systems operate with a fixed high sampling rate well above the system bandwidth that allows a relatively low-cost, low-order analog anti-aliasing filter to be used. Lower bandwidths and sample rates are developed digitally by data filtering and decimation. Alternatively, if the direct sampling rate has several user-selectable values, a different analog anti-alias filter is needed for each.
Hi-Techniques’ Gary Schneider, senior product manager, described the approach taken in the company’s Synergy DAQ system. “A single anti-alias filter can protect an ADC from aliases as long as the ADC runs at the highest sample rate,” he said. “To ensure no aliases occur at lower rates, we provide oversampling FPGA and DSP digital filters that first reduce bandwidth and then decimate to reduce sampling rate.
“Synergy has several digital filter types so the user can choose between the flattest high-frequency response for FFT and modal analysis or the best step response for high-speed transient capture,” Mr. Schneider continued. “Competitive systems using sigma-delta ADCs exhibit a 20% peak amplitude error on an impulse purely due to their hard-coded filter response, which is unacceptable in impact or ballistics testing.”
In addition to supporting the use of a straightforward analog filter, the main benefit of a several-octave stop band is very low noise contribution from aliasing. In contrast, a narrow stop band forces the use of high-order filtering that requires expensive precision components and is more difficult to manufacture and test. Of course, the design also may have to compromise the filter shape to ensure sufficient stop band attenuation, which implies trade-offs in the pulse response.
For frequency-domain applications, sigma-delta converters have distinct advantages, as described by National Instruments’ Andy Deck, product marketing group manager for conditioned measurements, “Several of our DAQ modules with integrated signal conditioning utilize sigma-delta ADCs. The converters implement a digital decimation filter that averages and downsamples the signal to have the effect of low-pass filtering in the frequency domain, making it very effective at anti-aliasing.
“This decimation filter is built for an extremely flat frequency response in the pass band with no phase error, a sharp roll-off near the cutoff frequency of about 0.49x the sample rate, and excellent rejection in the stop band,” he explained. “The use of sigma-delta ADCs reduces the stringent requirements for analog anti-aliasing filters on the modules, and this means that our analog filter designs can be much less complex and less expensive to manufacture.”
Measurement Computing’s Steve Radecky, product marketing specialist, discussed how bandwidth and sampling rate are related in some of his company’s DAQ products. “Most of our products feature a fixed bandwidth independent of the sampling rate,” he noted. “Generally, a single-pole passive filter provides sufficient bandwidth to allow a full-scale step input to settle to 1 LSB accuracy [within one sample period]. Any additional bandwidth would only increase the amount of high-frequency noise.
“Our Model USB-2416 Series products use a sigma-delta ADC and are intended for very high-resolution voltage and thermocouple measurement applications,” he said. “They give the user the ability to program the input bandwidth based on the ADC’s data rate. The ADCs have a sinc5 digital filter with an inherent notch-type response that can be used to reject 50- or 60-Hz power line noise.”
Sigma-delta converters have lots of advantages that make them ideal for frequency-domain applications. But they are not suitable for transient signal capture without modifications to the decimation filter characteristic.
Actual Signal Conditioning Solutions
Microstar Laboratories’ Technical Marketing Manager Larry Trammell described the approach the company has taken with the Data Acquisition Processor (DAP) product line. “We advocate sampling faster than strictly necessary so that all interfering signals are within the sampling bandwidth,” he said. “This results in an accurate representation of all signals without aliasing. A FIR filter can then be used to remove the undesired high-frequency content.
“Time-domain slewing and settling effects can limit sampling accuracy much more than linear bandwidth effects,” Mr. Trammell continued. “We attempt to configure maximum slew rate limits so that low-impedance full-range signals experience just a slight loss of accuracy caused by slew rate and incomplete settling. For higher impedance and multiplexed signals, reducing slew rates to about two-thirds of their full rate results in an accurate and more economical solution.”
Microstar provides fixed-cutoff filtering in signal conditioning boards such as the MSXB 048 Expansion Board with 16 single-ended channels or the MSXB 065 with eight simultaneously clocked differential channels. The company’s SCS system does not use hardware filters because the function is integrated in the iDSC 1816 sampling engine for each of eight channels.
Many industrial applications require signal conditioning, and the ADAM Series Modules from Advantech, Industrial Automation Group, are representative. The ADAM-3014, for example, provides 1,000-V isolation, accepts either DC voltage or current input, and has more than 100-dB common-mode rejection at 50 or 60 Hz. Different modules handle specific types of signals, but high isolation is a common feature as you might expect in an industrial environment. The outputs from many of these modules are analog, so you need to consider the rate at which they are digitized and how you want the overall DAQ system to behave.
Also addressing industrial applications, Acromag’s EtherStax® Series of Ethernet analog input modules comprises the basic input signal conditioning, isolation, automatic calibration, and high-speed scanning. Each unit converts up to 64 single-ended analog voltage signals from various sensors and instruments for transmission to an Ethernet-based control network. Although this kind of equipment is less commonly used outside of industrial applications, there certainly are test and measurement opportunities where 16-bit resolution, 0.1% of range accuracy, and comprehensive isolation together with an Ethernet output would be attractive.
The EtherStax Series is an example of a multichannel DAQ system with multiplexed channels as a practical solution to both size and cost. Multiplexed systems are easily recognized by their aggregate sampling-rate specification. The maximum sampling rate may be very high, but the rate available for a given channel drops as more channels are multiplexed. This approach results in timing offsets from channel to channel, higher levels of crosstalk, and greater aperture jitter.
Simultaneous sampling is a better technique than multiplexing when channel-to-channel timing is important. The Data Translation Model DT9816-S provides six independent channels with a 750-kS/s maximum sampling rate on each. The DT9816-S communicates and is powered by a USB connection to a PC and is a member of the ECONseries of low-cost DAQ modules.
Unfortunately, the ECONseries datasheet includes the DT9810, DT9812, DT9813, and DT9814 multiplexed products as well as the simultaneously sampled DT9816. The distinction is discussed in sufficient depth, but the comparison table on the first page includes the word aggregate for the DT9816-S sampling rate. It should not.
Also, although the DT9816-S specifications are very good, bandwidth is not mentioned. You must read the companion application note Benefits of Simultaneous Data Acquisition Modules to find the reason: “To [measure with 16-bit accuracy], the front-end input amplifier has a bandwidth 10x the Nyquist limit.”
Data Translation is not alone in providing a wide bandwidth in an attempt to minimize both amplitude and phase distortion, although the datasheet should state what the bandwidth value is. Nevertheless, this means that you need to add the appropriate filtering to deal with anti-aliasing as well as transient response if either is important in your application.
United Electronic Industries’ Bob Judd, director of sales and marketing, commented, “The advent of faster, cheaper high-performance ADCs helps a great deal in the filtering efforts. This allows us to oversample the inputs by a wide enough frequency margin that standard, fixed-frequency filters can eliminate higher frequency aliases while digital filtering can eliminate the lower frequency effects.
“We try to match the measurement system to the particular sensor,” he continued. “You seldom get a requirement to measure an RTD at more than 10 Hz and seldom see a vibration sensor that’s run at less than a few kilohertz. The requirement for filtering also is somewhat application dependent. Applications measuring temperature or pressure don’t often require any sort of anti-aliasing filter while measuring vibration, and to a slightly less degree strain, frequently demands it.”
The Signal Wizard 2.5 available from Saelig was described by Alan Lowne, the company’s president: “This is an integrated hardware/software system that provides high-performance DSP-based filtering. PC-based software is used to design a filter to your requirements, and the result is downloaded to a hardware module containing an advanced DSP and a low-level firmware operating system. The 24-bit oversampling stereo codec system is configurable to one of 12 sampling rates from 4 kHz to 48 kHz and supports a maximum of 500 to 1,000 filter taps depending on sample rate and operating mode.”
Summary
Signal conditioning is a very broad subject. In your application, what aspects of the signal and DAQ system are most important? What things cause the most concern? The answers to these questions should help guide your decision when selecting a new DAQ system or configuring an existing one.
Of course, you have to provide sufficient bandwidth, the required number of channels, and a suitable combination of memory length and sampling rate. But in addition, your application will dictate whether time- or frequency-domain considerations should dominate. If you must address both, consider sampling at a rate much higher than necessary using a flat frequency response and then digitally filtering to achieve the desired pass band shape that will facilitate a good transient response.
Reference
1. Lecklider, T., “Understanding Noisy Signals,” EE-Evaluation Engineering, August 2005, pp. 30-38.
About the Author
Voice Your Opinion!
To join the conversation, and become an exclusive member of Electronic Design, create an account today!

Leaders relevant to this article:





