What is Incident Power Density?
Members can download this article in PDF format.
What you'll learn:
- Incident power density's impact in multiple scenarios, such as Internet of Body devices.
- Rising skin and surface temps caused by IPD.
- Exposure to electromagnetic fields from user-equipment devices.
- The potential of a future without smartphones.
Incident power density (IPD) is a metric that’s used to assess the exposure of humans to electromagnetic fields (EMFs) in the frequency range from 6 to 300 GHz.
IPD is typically spatially averaged over an averaging area. Two quantities can be used to define spatially averaged IPD:
- Using the normal component of IPD vectors crossing the surface.
- The magnitude of IPD vectors (norm) averaged over an area independent of the orientation.
The Hertzian Dipole
IPD is often determined from the radiation of the Hertzian dipole in the frequency range of 5G mobile communication systems.1,3
The IPD is used to derive a new metric called “absorbed/epithelial power density” based on thermal modeling. It defines the permissible incident power density for frequencies between 6 and 300 GHz.1 It’s also used in the compliance assessment of wireless products operating in millimeter-wave frequencies.1
EMF Exposure
With 5G devices, the dosage level of ionizing radiation from EMF exposure2 is the IPD above 6 GHz in place of the specific absorption rate (SAR) below 6 GHz. However, when being exposed to radiation from sub-6-GHz antennas, along with above-6-GHz antennas simultaneously, the total exposure ratio (TER) may be used to evaluate EMF exposure.
Skin and Surface Temperature Elevation Due to IPD
Because of the transition from the SAR to IPD, TER may not have a good correlation with temperature increase (∆T) in human tissue.5,6,7 To avoid this alignment difficulty, an approximate expression of TER is proposed based on the Gaussian distribution approximation of the SAR and IPD on the skin surface. which is caused by acceptable procedure in dipoles. In addition, to keep a good correlation between TER and ∆T, the temperature-based TER (TBTER) should be used.
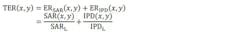
5G devices will typically work in both sub- and above-6-GHz ranges, and the simultaneous exposure to the EMF in these two frequency ranges must be considered. TER is defined as:
In the above equation, x and y are the coordinates, ERSAR and ERIPD are defined as exposure ratios (ERs) of SAR and IPD, respectively, and SARL and IPDL are the limits of SAR and IPD, respectively.
The Federal Communications Commission (FCC) identifies SAR as 1.6 W/kg averaged over 1g of tissue, and IPDL is 10 W/m2 for the spatial peak value, which has recently been proposed to be averaged over 1 cm2.
EMF Exposure with 6- and 10-GHz User-Equipment Antennas
Just about every person has some sort of user-equipment (UE) device for 5G in today’s world.8 5G has two frequency ranges: FR1 (sub-7-GHz) and FR2 (from 24.25 to 71.0 GHz). The spectrum around 10 GHz is now being looked at as potential bands for future cellular networks.
Antenna radiation and the human body
UE antenna transmit/receive signals become deteriorated when passing through the lossy tissue within the human body. The antenna input impedance will change in this scenario and affect the matching and operating bandwidth. A fraction of the radiated power is absorbed into the human tissue, reducing the antenna radiation efficiency. In addition, the radiation pattern will become distorted because of the human body blocking the signals.
Electromagnetic (EM) radiation, such as radio waves, may induce a current in conducting bodies. Such induced current will in turn generate an EMF, or even may cause EM waves to be emitted. When a human hand is close to a radio, emitted EM waves from that hand will interfere with the RF waves received by the radio antenna.
EM waves can be scattered. When placing a hand near a radio antenna, RF waves will scatter off the hand, causing interference patterns that can be constructive or destructive.
Internet of Body Coupling
A differentiating feature for Internet of Body (IoB) devices, as compared to Internet of Things (IoT) devices, is that IoB devices share a common medium—the body itself.9,10
Electro-quasistatic Human Body Communication (EQS-HBC) has been demonstrated, using the human body’s conductive properties to communicate without radiating the signals outside of the body. Unlike traditional wireless body area network (WBAN) devices, frequencies used in EQS-HBC are below 1 MHz, such that the corresponding wavelength is large with respect to the human body, making the communication EQS in nature (see figure).
Some previous experiments demonstrated that an attack, with an antenna, wasn’t successful when at a distance further than 1 cm from the human body surface while 15 cm from an EQS-HBC device.
No Need for Smartphones in the Future?
Shreyas Sen, a Purdue University engineer, is involved in developing leading-edge solutions for the post-smartphone era. In this future idea, people will be able to participate with technology, instead of just coexisting with wireless devices like smartphones that are now encased behind screens.11,12
"We're connecting more and more devices to the human body network, from smart watches and fitness trackers to head-mounted virtual-reality displays,” said Sen.
Right now, the challenge hasn’t solely been keeping this kind of communication inside the body so that no one can intercept it, but also enabling higher bandwidth along with less battery consumption.
Bodily fluids can carry electrical signals quite well. In today’s technology, so-called "body area networks" have employed Bluetooth technology to send signals on or around the body. These electromagnetic waves can be detected within at least a 10-meter radius of a person.
Sen's team demonstrated a means for human body communication that can happen more securely while not going beyond a centimeter away from human skin, while using 100X less energy than traditional Bluetooth communication. This was made possible via a device that’s able to couple signals in the EQS range, operating much lower on the electromagnetic spectrum. Sen's group works with industry and government to incorporate this device into a dust-sized IC.
Doctors, using such a device, may be able to reprogram medical devices without having invasive surgery. Closed-loop bioelectronic medicine could use wearable or even implantable medical devices that would function like a drug without any side effects.
References
1. “On the Incident Power Density Calculation in GHz Frequency Range: A case of Hertz dipole,” Dragan Poljak, Mario Cvetković.
2. “EMF Exposure Analysis of Combining Specific Absorption Rate and Incident Power Density Using Canonical Dipoles,” Wang He, Zhinong Ying, Sailing He, 13th European Conference on Antennas and Propagation (EuCAP 2019).
3. “Antenna Parameters,” LibreTexts Engineering.
4. “Radiation from a Hertzian Dipole,” Stephen W. Ellingson, Virginia Polytechnic Institute, LibreTexts, Physics
5. “2889-2021—IEEE Guide for the Definition of Incident Power Density to Correlate Surface Temperature Elevation,” IEEE.
6. “Skin Temperature Elevation for Incident Power Densities from Dipole Arrays at 28 GHz,” IEEE Access, 2020.
7. “On the Correlation Between Incident Power Density and Temperature Increase for Exposures at Frequencies Above 6 GHz,” Valerio De Santis (Senior Member, IEEE), Antonio Di Francesco, Giorgi Bit-Babik (Senior Member, IEEE), John Roman (Senior Member, IEEE), and Walid el Hajj, (Member, IEEE).
8. “A Study on EMF Exposure Assessments With Different Metrics for User Equipment Antennas at 6 and 10 GHz,” Stanislav Stefanov Zhekov, Ming Yao (Graduate Student Member, IEEE), Carla Di Paola, Bo Xu (Member, IEEE), and Shuai Zhang, (Senior Member, IEEE).
9. “Inter-body coupling in electro-quasistatic human body communication: theory and analysis of security and interference properties,” Mayukh Nath, Shovan Maity, Shitij Avlani, Scott Weigand, Shreyas Sen, Scientific Reports, February 23, 2021.
10. “An Overview on Wireless Body Area Networks,” S.Dharshini, M. Monica Subashini, International Conference on Innovations in Power and Advanced Computing Technologies [i-PACT2017].
11.”’Body internet’ may eliminate the need for smartphones by changing how we use technology,” Shreyas Sen, Purdue University professor, December 4, 2023.
12. “Enabling Covert Body Area Network using Electro-Quasistatic Human Body Communication,” Debayan Das, Shovan Maity, Baibhab Chatterjee, and Shreyas Sen, March 11, 2019.
About the Author

Steve Taranovich
Freelance Technical Writer, Phoenix Information Communication LLC
Steve is a contributing editor to Electronic Design.
Author of the non-fiction “Guardians of the Right Stuff,” a true story of the Apollo program as told by NASA and Grumman Corp. engineers, an astronaut, and technicians.
Experienced Editor-In-Chief of EETimes/Planet Analog and Senior Technical Editor at EDN running the Analog and Power Management Design Centers from 2012 to 2019.
A demonstrated history in electronic circuit design and applications for 40 years, and nine years of technical writing and editing in industry. Skilled in Analog Electronics, Space-related Electronics, Audio, RF & Communications, Power Management, Electrical Engineering, and Integrated Circuits (IC).
1972 to 1988 worked as a circuit design engineer in audio (8 years) and microwave (8 years). Then was Corporate Account Manager/applications engineer for Burr-Brown from 1988 to 2000 when TI purchased Burr-Brown. Worked for TI from 2000 to 2011.
Strong media and communication professional with a BEEE from NYU Engineering in 1972 and an MSEE from Polytechnic University in 1989. Senior Lifetime member of IEEE. Former IEEE Long Island, NY Director of Educational Activities. Eta Kappa Nu EE honor society member since 1970.


