Designing Robust Power Sources with Ideal Diodes
What you'll learn:
- What is an ideal diode?
- How ideal diodes can make designs with multiple power sources more flexible.
- Example of a circuit design utilizing ideal diodes.
Robust systems often have several different power sources, and switches are implemented to separate the power supplies from each other to avoid damage. In most cases, multiple diodes are placed in the power path to keep everything separate.
However, a more flexible and efficient method involves the use of ideal diodes. Several different ideal diodes can be used in these situations — one where the selection of input rail is independent of the voltage level, and a simpler one in which the higher voltage always powers the system.
All sorts of electronic systems can be supplied with multiple voltage sources. For instance, battery-operated devices are often designed to use a plug-in power supply as an alternative to the primary power source — the battery. It’s also common to supply power with a wall-pluggable AC-DC converter as an additional energy source to a primary power supply via USB.
>>Download the PDF of this article, and check out more of Dostal's Designs
Having more than one power supply is not only a boon for consumers and other users, but it also enables increased robustness through redundancy.
Multiple Voltage Sources Demands Careful Design
Ultimately, the use of several different voltage sources requires more careful circuit design. It’s often necessary to ensure that one energy source doesn’t flow backward into any of the others. If that happened, it could cause damage.
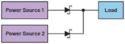
Figure 1 shows a simple protection circuit for unused voltage sources. Diodes are used in the power path. The approach is highly reliable, but it has one major limitation. In this configuration, the energy source with the higher voltage is always used to power the load.
The diodes also present a voltage drop of 150 to 450 mV in the power path, which results in excess power dissipation, especially at low voltages. With battery-powered devices, the higher power loss is undesirable.
Consider Ideal Diodes in Your Design
To overcome these shortcomings, ideal diodes are one potential alternative. The term ideal diode refers to components that use a power semiconductor device (usually a MOSFET) instead of a regular diode. In its switched-on state, an ideal diode has a significantly lower drop voltage. This voltage drop is based on the actual current flow through the switch and depends on the on-resistance (RDS(ON)) of the power MOSFET.
In Figure 2, the ideal diodes in the circuit are executed with a pair of LT4422 devices. These chips have a low voltage drop due to the minimal amount of on-resistance in the power path, which is only 50 mΩ. The power consumption of the IC itself is only 10 μA, further minimizing the total power losses. The figure shows an additional function: An LED can be added as an indicator for which voltage source is powering the load at any given time.
The circuit in Figure 2 works as a replacement for the circuit in Figure 1. The main differences are that it saves more power and it enables several new functions, namely the LED indicator.
However, one feature remains the same. The voltage source with the higher rating supplies power to the load. The LT4422 ideal diode is equipped with an enable pin (SHDN), but the body diode of the built-in MOSFET starts conducting when the input (IN) voltage is higher than the output (OUT) voltage.
To prevent that from happening, it makes sense to use a variant of the LT4422, the LT4423, which features a pair of back-to-back MOSFETs in the power path. These are arranged in such a way that the respective body diodes will not allow a current flow if the other MOSFET isn’t switched on at the same time.
Figure 3 features a circuit design in which the supply voltage can be freely determined to power the load. The tradeoff is that two integrated MOSFETs are required, and so the resistance in the power path increases from 50 mΩ (with the LT4422) to 200 mΩ (with the LT4423) when switched on.
One of the other advantages of the dual-MOSFET device is it enables a thermal shutdown function. In contrast to a conventional diode, this ideal diode switches off when the component heats up above 160°C (typically). Such a feature is valuable when developing extra-robust systems.
Conclusion
Ideal diodes are useful replacements for regular diodes to increase the power efficiency in systems that can run on several different power sources. Besides the reduction of power losses, ideal diodes also give engineers more flexibility and enable them to build additional features into the system. On top of that, they’re easy to use and simple to design with. This comes through when using highly integrated devices such as the LT4422 and LT4423.
>>Download the PDF of this article, and check out more of Dostal's Designs
About the Author

Frederik Dostal
Power-Management Technical Expert
Frederik Dostal is a power-management expert with more than 20 years of experience in this industry. After his studies of microelectronics at the University of Erlangen, Germany, he joined National Semiconductor in 2001, where he worked as a field applications engineer, gaining a lot of experience in implementing power-management solutions in customer projects. During his time at National, he also spent four years in Phoenix, Arizona (USA), working on switch-mode power supplies as an applications engineer.
In 2009, he joined Analog Devices, where since then he held a variety of positions working for the product line and European technical support, and currently brings in his broad design and application knowledge as a power-management expert. Frederik works in the ADI office in Munich, Germany.
Also check out my:





