High-Density DC-DC Converters Stretch from Grid to Car to Core
As power demands climb in everything from renewable-heavy electric grids to AI data centers, the pressure on power electronics to deliver more performance in smaller spaces is mounting.
Electricity travels through a complex chain of DC-DC conversions — from the high voltages present in the grid to the millivolt levels used by high-end processors. A new class of DC-DC converters are coming out to meet these challenges. They will deliver advances such as:
- New topologies for flexible power flow in DC microgrids
- New power switches based on SiC and GaN for compact, high-frequency switching in electric vehicles (EVs).
- New innovations in magnetics and passive integration to reduce losses deep inside server racks.
A Different DC-DC Power Converter for DC Microgrids
As more solar, wind, and other renewable-energy sources as well as energy storage systems (ESS) plug into the electric grid and even more localized DC microgrids, the power electronics converting them from one location to the other are coming under pressure.
One potential solution is a triple active bridge (TAB) DC-DC converter. The topology is an extension of the dual active bridge (DAB) that’s able to manage several different power flows while maintaining high efficiency. Figure 1 shows a DC microgrid using standard two-port DC-DC converters. It only connects one DC unit to one DC-DC converter with the grid, while a TAB DC-DC converter can connect more than one energy source to the grid at a time, simplifying design and mechanical integration.
Importantly, TAB enables bidirectional power flows, and all of the ports are magnetically coupled via a transformer. The transformer not only provides the needed galvanic isolation, but it also helps in adjusting different voltage levels via turns ratio for each port.
The TAB topology is trending because it can reduce the size of large, complex DC-DC converters used in energy storage. It can also leverage zero voltage switching (ZVS), which is crucial for operating at higher frequencies.
>>Download the PDF of the article, and check the TechXchange and Series Library for similar articles and videos
However, there are some drawbacks: The energy storage port, which often connects to a large-scale battery unit, has an inevitable circulating current even when it’s not used. This is due to the structure of the TAB converter, which will lower energy conversion efficiency.
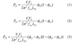
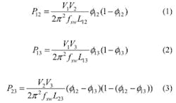
The next problem is when a power change of one port influences another port in the TAB converter. It will cause unwanted power in the irrelevant port when a transient occurs, since each port power is a function of Ø12 and Ø13 according to Equations 1, 2, and 3:
One other caveat is that the DC-DC converter needs a power-coupling control that will remove power correlation between the ports. Also, this method will induce circulating current within the ESS port even though it’s not used. This will lead to complexity in control.
GaN-Based DC-DC Converters Elevate EV Power Density
Bidirectional DC-DC converters are employed in EVs, too, where high power density and high efficiency are non-negotiable. They serve to interface the high-voltage battery pack with all of the other systems under the hood, including the high-voltage DC bus of the traction inverter.
A bidirectional DC-DC converter acts as an energy conditioner, not only transferring current out of the battery to the rest of the EV, but also relaying recaptured energy into the battery during regenerative braking.
Since the output voltage of different types of batteries can be unstable, DC-DC converters are required to temporarily store energy and step up the unstable voltage supply to a higher and stable level to meet EV power demands. As a result, DC bus voltage will not be affected by the variation of the battery voltage, enabling both the motor and inverter to be optimally designed (Fig. 2).
Gallium nitride (GaN) plays a critical role in these DC-DC converters, as it can be used to improve power density and efficiency at a system level. GaN power FETs will operate at very fast switching frequencies, which can be increased to more than 100 kHz and even in excess of 1 MHz in some cases. This enables very low switching losses, even in hard-switched topologies, reducing system power losses and minimizing thermals.
Using GaN power FETs, DC-DC converters can often use passive cooling, which shrinks the system's overall cost and area. GaN also helps simplify converter design and mechanical integration. Thus, the DC-DC converters can be flexibly positioned in the vehicle, reducing the workload for manufacturers.
Moreover, GaN makes it possible to scale up the power of the converters to kilowatts and boost power density — all while offering typical efficiencies of more than 90% and improved thermals versus liquid-cooled converters.
In two-phase configurations, the phases of the DC-DC converter can be combined to maximize output power. It’s also possible to switch off one phase under partial load conditions and interleave the switching frequency between the two phases. By switching the input of two phases in series, DC-DC converters can be used to implement 800-V architectures without exceeding the maximum blocking voltage of the GaN FETs.
Due to the limited space in EVs and other systems, power density is one of the most important metrics for these bidirectional DC-DC converters. The other requirement is high efficiency. Passive components such as capacitors and inductors will limit the total power density. On top of that, they frequently contribute to power losses. Factors that influence the overall volume of the passive components in a system include:
- Switching frequency: The volume of passive components will be reduced by increasing switching frequency, but the switching frequency will be limited by the required efficiency.
- Filter inductance: Small filters may lead to reducing the size of the inductor. However, large filter capacitors are necessary to filter out high-current ripple.
When based on the passive components shown in Figure 3 and the power-conversion efficiency in Figure 4, we can see that when the switching frequency is higher than 20 kHz, the passive components volume will hardly decrease with the increase of frequency. However, the power converter’s efficiency will be reduced significantly. As a result, you need to pay close attention to the tradeoff between power density and efficiency.
A Single-Stage 48-to-1-V DC-DC Converter Comes with Integrated Magnetics
DC-DC converters that supply high currents over the circuit board and into the SoC are also evolving rapidly.
In data centers, single-stage DC-DC converters are gaining traction as a way to reduce the number of power-conversion stages. For instance, a GaN-based unregulated DC-DC converter designed by the Center for Power Electronics System (CPES) at Virginia Tech in the U.S. can directly step down a 48-V bus voltage to 1 V. By using PCB winding inductors to integrate the magnetics, the high-efficiency buck converter delivers the bulk power to the load while carefully regulating output voltage.3
The rapid adoption of AI is driving the soaring demand for data centers in the U.S. To sustain the current pace of technological advancement, data center power requirements are projected to grow to nearly 3X their current capacity by the end of the decade, according to McKinsey. This implies a shift from today’s data center energy consumption — currently accounting for approximately 3% to 4% of total U.S. electricity need — to an estimated 11% to 12% by 2030.
Modern data center power architectures typically use a 48-V bus, which is favored for its ability to reduce resistive losses compared to the 12-V bus that it replaced (Fig. 5). The 48-V bus is commonly stepped down to 12 V and then further reduced to the core voltage of the SoC, which is typically less than 1 V.
Each voltage step traditionally requires a separate power converter, and each stage introduces power losses that can add up to more than 10%. These power losses are expressed as heat that needs to be removed one way or another.
By adopting single-stage, high-efficiency converters such as the 48-V-to-1V LCC converter from CPES, data centers have the potential to dramatically cut down on power losses. System complexity can also be curtailed.
Ultimately, the demand for higher power density and efficiency will continue to intensify — from the electric grid (or microgrid) all the way to the gates of the SoCs powering everything from EVs to AI data centers.
References
1. “High Power Density Bidirectional Three-port DC-DC Converter for Battery Applications in DC Microgrids,” Juyoung Sim, Junyoung Lee, Hyunjun Choi and Jee-Hoon Jung, School of Electrical and Computer Engineering, Ulsan National Institute of Science and Technology, Ulsan, Korea; 10th International Conference on Power Electronics—ECCE Asia, May 27 to 30, 2019, Busan, Korea.
2. “A High Power Density and Efficiency Bi-Directional DC/DC Converter for Electric Vehicles,” Xiaoyu Jia, Dehong Xu, Shuailin Du, Changsheng Hu, Min Chen, and Ping Lin, 9th International Conference on Power Electronics —ECCE Asia, June 1 to 5, 2015, Seoul, Korea.
3. “Single-Stage High-Efficiency 48-V-to-1-V Sigma Converter With Integrated Magnetics,” Mohamed H. Ahmed, Chao Fei, Fred C. Lee, Qiang Li, IEEE Transactions on Industrial Electronics, Vol. 67, No. 1, January 2020.
4. “A New High-Efficiency and High-Power-Density 48-V-to-1-V Converter,” Chase Lin, Owen Song, Jimmy Wang, Power sensor and system department, Infineon Semiconductors, Shenzhen, China, IEEE 1st International Power Electronics and Application Symposium (PEAS), IEEE 2021.
5. “An Isolated Three-Port Bidirectional DC-DC Converter with Decoupled Power Flow Management,” C. Zhao, S. D. Round, and J. W. Kolar, IEEE Transactions Power Electronics, Vol. 23, No. 5, September 2008.
6. “High Power Density DC-DC Converters,” Florida's Premier Energy Research Center at the University of Central Florida (UCF), FSEC.
7. “How to Design High-Power-Density DC-DC Converters,” Texas Instruments, 2016
>>Download the PDF of the article, and check the TechXchange and Series Library for similar articles and videos
About the Author

Steve Taranovich
Freelance Technical Writer, Phoenix Information Communication LLC
Steve is a contributing editor to Electronic Design.
Author of the non-fiction “Guardians of the Right Stuff,” a true story of the Apollo program as told by NASA and Grumman Corp. engineers, an astronaut, and technicians.
Experienced Editor-In-Chief of EETimes/Planet Analog and Senior Technical Editor at EDN running the Analog and Power Management Design Centers from 2012 to 2019.
A demonstrated history in electronic circuit design and applications for 40 years, and nine years of technical writing and editing in industry. Skilled in Analog Electronics, Space-related Electronics, Audio, RF & Communications, Power Management, Electrical Engineering, and Integrated Circuits (IC).
1972 to 1988 worked as a circuit design engineer in audio (8 years) and microwave (8 years). Then was Corporate Account Manager/applications engineer for Burr-Brown from 1988 to 2000 when TI purchased Burr-Brown. Worked for TI from 2000 to 2011.
Strong media and communication professional with a BEEE from NYU Engineering in 1972 and an MSEE from Polytechnic University in 1989. Senior Lifetime member of IEEE. Former IEEE Long Island, NY Director of Educational Activities. Eta Kappa Nu EE honor society member since 1970.
Voice Your Opinion!
To join the conversation, and become an exclusive member of Electronic Design, create an account today!

Leaders relevant to this article:








